I. INTRODUCTION
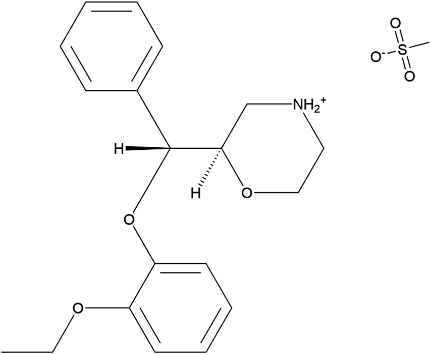
Reboxetine, as the mesylate salt (sold under the brand name Edronax®), is an antidepressant used to treat clinical depression, panic disorder, and Attention Deficit Disorder (ADD)/attention Deficit Hyperactivity Disorder (ADHD). The systematic name (CAS Registry No. 98769-84-7) is (2R)-2-[(R)-(2-ethoxyphenoxy)-phenylmethyl]morpholinium methanesulfonate. A two-dimensional molecular diagram of reboxetine mesylate is shown in Figure 1.

Figure 1. The two-dimensional structure of reboxetine mesylate.
X-ray powder diffraction data for the fumarate and succinate salts of reboxetine are reported in European Patent EP 1515959A1 (Zampieri et al., Reference Zampieri, Airoldi and Martini2003; Pfizer Italia SRL). Powder data for several crystalline forms of reboxetine hydrochloride are reported in US Patent Application US 2010/0069389 A1 (Kalofonos et al., Reference Kalofonos, Stahly, Martin-Doyle, Lai, Jonaitis and Lityo2010; Bionevia Pharmaceuticals, Inc.). A crystal structure of what we designate Form 1 of racemic reboxetine mesylate was determined by MicroED in space group P21/c with a = 20.00, b = 5.49, c = 19.06 Å, and β = 107.338° (Lin et al., Reference Lin, Bu, Unge and Gonen2024). The structure was deposited with the Cambridge Crystallographic Data Centre as entry 2323516.
This work was carried out as part of a project (Kaduk et al., Reference Kaduk, Crowder, Zhong, Fawcett and Suchomel2014) to determine the crystal structures of large-volume commercial pharmaceuticals and include high-quality powder diffraction data for them in the Powder Diffraction File (Kabekkodu et al., Reference Kabekkodu, Dosen and Blanton2024).
II. EXPERIMENTAL
Reboxetine mesylate was a commercial reagent, purchased from TargetMol (Batch #T6963), and used as received. The white powder was packed into a 0.5-mm-diameter Kapton capillary and rotated during the measurement at ~2 Hz. The powder pattern was measured at 298(1) K at the Wiggler Low Energy Beamline (Leontowich et al., Reference Leontowich, Gomez, Diaz Moreno, Muir, Spasyuk, King, Reid, Kim and Kycia2021) of the Brockhouse X-ray Diffraction and Scattering Sector of the Canadian Light Source using a wavelength of 0.819826(2) Å (15.1 keV) from 1.6 to 75.0° 2θ with a step size of 0.0025° and a collection time of 3 minutes. The high-resolution powder diffraction data were collected using eight Dectris Mythen2 X series 1 K linear strip detectors. NIST SRM 660b LaB6 was used to calibrate the instrument and refine the monochromatic wavelength used in the experiment.
The pattern was difficult to index. Using the rule of thumb of 18 Å3 per non-H atom, we expect a unit cell volume of an integral multiple of 504 Å3. Several indexing programs yielded larger unit cells, with volumes from 2,500 to 2,900 Å3, resulting in unreasonable Z-values and/or voids in the crystal structure. Once we became aware of the Lin et al. structure, those (minor) Form 1 peaks were removed from the peak list. The successful indexing was obtained by JADE Pro (MDI, 2024), excluding the Lin et al. peaks and those with I rel < 1%. Up to three unindexed peaks were permitted. The suggested cell had a = 14.31682, b = 18.01376, c = 16.84149 Å, β = 113.54°, V = 3,981.92 Å3, and Z = 8. The suggested space group was P21/c, which was confirmed by the successful solution and refinement of the structure and confirmed that our sample was also racemic.
The reboxetine cation and mesylate anion molecular structures were extracted from the Lin et al. (Reference Lin, Bu, Unge and Gonen2024) structure and saved as separate .mol2 files using Mercury (Macrae et al., Reference Macrae, Sovago, Cottrell, Galek, McCabe, Pidcock and Platings2020). The structure was solved using Monte Carlo-simulated annealing techniques as implemented in EXPO2014 (Altomare et al., Reference Altomare, Cuocci, Giacovazzo, Moliterni, Rizzi, Corriero and Falcicchio2013). Two cations and two anions were used as fragments, and a bump penalty was applied. One of the 10 solutions was significantly better than the others.
In the best solution, the protonated N4 in the morpholine ring of molecule 1 (lower atom numbers) formed the expected N–H···O hydrogen bonds to two anions, but the equivalent N51 in molecule 2 did not. The examination of the structure showed that C54 was 2.867 and 2.951 Å from two O atoms of the anions and, thus, was probably a nitrogen atom. The atom types in the morpholine ring were reassigned manually, and the hydrogen positions were recalculated using Mercury (conceptually rotating the ring by 180°) to obtain the model for refinement.
Rietveld refinement was carried out with GSAS-II (Toby and Von Dreele, Reference Toby and Von Dreele2013). Only the 2.5–55.0° portion of the pattern was included in the refinements (d min = 0.888 Å). All non-H-bond distances and angles were subjected to restraints, based on a Mercury/Mogul Geometry Check (Bruno et al., Reference Bruno, Cole, Kessler, Luo, Motherwell, Purkis and Smith2004; Sykes et al., Reference Sykes, McCabe, Allen, Battle, Bruno and Wood2011). The Mogul average and standard deviation for each quantity were used as the restraint parameters. The aromatic rings in the cations were restrained to be planar. The restraints contributed 4.2% to the overall χ 2. The hydrogen atoms were included in calculated positions, which were recalculated during the refinement using Materials Studio (Dassault Systèmes, 2024). The U iso of the heavy atoms were grouped by chemical similarity. Some U iso refined to slightly negative values; therefore, they were fixed at reasonable values. The peak profiles were described using the generalized (Stephens, Reference Stephens1999) microstrain model. The background was modeled using a six-term-shifted Chebyshev polynomial, with peaks at 3.02 and 10.48° to model the narrow and broad scattering from the Kapton capillary and any amorphous component of the sample.
The final refinement of 203 variables using 21,201 observations and 138 restraints yielded the residual R wp = 0.09959. The largest peak (0.27 Å from O48) and hole (1.47 Å from O96) in the difference Fourier map were 0.53(11) and −0.46(11) eÅ−3, respectively. The final Rietveld plot is shown in Figure 2. The largest features in the normalized error plot are at three unindexed peaks at d-spacings = 5.3810, 4.4953, and 4.2997 Å, and in the shapes and positions of some of the strong low-angle peaks. The refined concentration of the Lin et al. phase was 5.1 wt%. The unindexed peaks indicate that the sample contains at least one additional crystalline phase, and the analyzed specimen has probably changed by the X-ray exposure during the measurement.

Figure 2. The Rietveld plot for reboxetine mesylate Form 2. The blue crosses represent the observed data points, and the green line represents the calculated pattern. The cyan curve indicates the normalized error plot, and the red line indicates the background curve. The blue tick marks indicate the Form 2 peak positions, and the red tick marks are for Form 1. The vertical scale has been multiplied by a factor of 10× for 2θ > 18.0̊ and by a factor of 20× for 2θ > 33.0̊.
The crystal structure of reboxetine mesylate was optimized (fixed experimental unit cell) with density functional theory techniques using VASP (Kresse and Furthmüller, Reference Kresse and Furthmüller1996) through the MedeA graphical interface (Materials Design, 2024). The calculation was carried out on 32 cores of a 144-core (768-GB memory) HPE Superdome Flex 280 Linux server at North Central College. The calculation used the GGA-PBE functional, a plane wave cutoff energy of 400.0 eV, and a k-point spacing of 0.5 Å−1, leading to a 1 × 1 × 1 mesh, and took ~22 hours. The crystal structure of Form 1 was optimized using the same strategy, except that a DFT-D3 dispersion correction was applied, and the lattice parameters were refined. Single-point density functional calculations (fixed experimental cell) and population analyses were carried out using CRYSTAL23 (Erba et al., Reference Erba, Desmarais, Casassa, Civalleri, Donà, Bush and Searle2023). The basis sets for the H, C, N, and O atoms in the calculation were those of Gatti et al. (Reference Gatti, Saunders and Roetti1994), and the basis set for the S atom was that of Peintinger et al. (Reference Peintinger, Vilela Oliveira and Bredow2013). The calculations were run on a 3.5-GHz PC using eight k-points and the B3LYP functional and took ∼12.1 and 2.4 hours for Form 1 and Form 2, respectively.
III. RESULTS AND DISCUSSION
The sample of reboxetine mesylate studied here is a mixture (Figure 3). It contains 5.1 wt% of the previously characterized form, which we designate Form 1. The new Form 2 is the major phase, and a small concentration of at least one other crystalline phase is present. The thermal expansion of Form 1 is anisotropic (Table I), being greatest in the c-direction.

Figure 3. The synchrotron pattern from this study of reboxetine mesylate Form 2 (black), with the pattern calculated from the 80 K structure of Form 1 (Lin et al., Reference Lin, Bu, Unge and Gonen2024; green). Image generated using JADE Pro (MDI, 2024).
TABLE I. Lattice parameters (space group P21/c) of reboxetine mesylate Form 1

The structure of Form 1 reported by Lin et al. (Reference Lin, Bu, Unge and Gonen2024) does not contain the expected N–H···O hydrogen bonds between the cation and the anion. However, C1 (using their atom numbering) was 2.821 and 2.960 Å from two of the O atoms in the sulfonate, indicating that it was probably a N. Using Materials Studio, O7 was changed to a C, C3 to O, C1 to N, and N2 to C, and the attached hydrogens recalculated, effectively rotating the morpholine ring by 180°. The atom numbering was changed by the program. Both the as-reported and this modified structure were optimized using VASP, including a dispersion correction and allowing the cell to vary. The modified structure is 23.1 kcal/mol lower in energy; therefore, the modified structure is the basis for the remaining discussion. The modified Form 1 is 0.6 kcal/mol lower in energy than Form 2, but the difference is within the expected uncertainty of such calculations. It is unclear which form is more stable. For each form, the VASP-optimized lattice parameters are about 3% smaller than the observed ones (Tables I and II).
TABLE II. Lattice parameters (space group P21/c) of reboxetine mesylate Form 2

The root-mean-square (rms) difference of the non-H atoms in the Rietveld-refined and VASP-optimized structures of reboxetine mesylate Form 2, calculated using the Mercury CSD-Materials/Search/Crystal Packing Similarity tool, is 0.295 Å (Figure 4). The rms Cartesian displacements of the non-H atoms in the optimized structures of cation 1 and cation 2, calculated using the Mercury Calculate/Molecule Overlay tool, are 0.323 and 0.120 Å (Figures 5 and 6). The largest differences are 0.873 Å at C34 and 0.299 Å at C81 in the side chains. The agreements are within the normal range for correct structures (van de Streek and Neumann, Reference van de Streek and Neumann2014). The asymmetric unit is illustrated in Figure 7. The remaining discussion will emphasize the VASP-optimized structure.

Figure 4. Comparison of the refined structure of reboxetine mesylate Form 2 (colored by atom type) to the VASP-optimized structure (light green). The comparison was generated by the Mercury CSD-Materials/Search/Crystal Packing Similarity tool; the rms displacement is 0.295 Å. Image generated using Mercury (Macrae et al., Reference Macrae, Sovago, Cottrell, Galek, McCabe, Pidcock and Platings2020).

Figure 5. Comparison of the refined structure of reboxetine cation 1 (red) to the VASP-optimized structure (blue). The comparison was generated using the Mercury Calculate/Molecule Overlay tool; the rms difference is 0.323 Å. Image generated using Mercury (Macrae et al., Reference Macrae, Sovago, Cottrell, Galek, McCabe, Pidcock and Platings2020).

Figure 6. Comparison of the refined structure of reboxetine cation 2 (red) to the VASP-optimized structure (blue). The comparison was generated using the Mercury Calculate/Molecule Overlay tool; the rms difference is 0.120 Å. Image generated using Mercury (Macrae et al., Reference Macrae, Sovago, Cottrell, Galek, McCabe, Pidcock and Platings2020).

Figure 7. The asymmetric unit of reboxetine mesylate Form 2, with the atom numbering. The atoms are represented by 50% probability spheroids. Image generated using Mercury (Macrae et al., Reference Macrae, Sovago, Cottrell, Galek, McCabe, Pidcock and Platings2020).
All of the bond distances and bond angles, and most of the torsion angles, fall within the normal ranges indicated by a Mercury Mogul Geometry check (Macrae et al., Reference Macrae, Sovago, Cottrell, Galek, McCabe, Pidcock and Platings2020). The O1–C46–C44–O3 torsion angle lies on the tail of the trans portion of a trans/gauche distribution. The C93–O48–C68–C76 torsion angle lies on a long tail of a distribution of similar torsion angles. Thus, both cations are slightly unusual.
The two independent cations have similar overall shapes (Figure 8). The rms displacement is 0.446 Å. The main difference is in the conformation of the center of the cations, at O1/C46 and O48/C93. Quantum chemical geometry optimization of isolated reboxetine cations (DFT/B3LYP/6-31G*/water) using Spartan ‘24 (Wavefunction, 2023) indicated that both cations are very close to local minima and that cation 1 is 0.8 kcal/mol lower in energy than cation 2. This difference is less than the expected uncertainty of such calculations; hence, the two conformations should be considered equivalent in energy. The global minimum-energy conformation is 7.4 kcal/mol lower in energy than cation 1, and has a different orientation of the morpholine ring (rotated ~60°).

Figure 8. Comparison of cation 1 (green) and cation 2 (orange) in reboxetine mesylate Form 2. The rms difference is 0.446 Å. Image generated using Mercury (Macrae et al., Reference Macrae, Sovago, Cottrell, Galek, McCabe, Pidcock and Platings2020).
The crystal structure (Figure 9) consists of double columns of anions and cations along the a-axis, columns that are clearer when the figure is manipulated in real time. Hydrogen bonds (discussed below) link the cations and the anions along this axis. The mean plane of the C10–C19 phenyl ring in cation 1 is approximately (0, −1, 2) and the C21–C29 phenyl ring is approximately (3, 1, −1). The comparable planes for cation 2 are approximately (0, 1, 4) and (−3, 1, 1). The Mercury Aromatics Analyser indicates a strong interaction (distance = 5.04 Å) between phenyl rings of cations 1 and 2, a moderate interaction (distance = 6.35 Å) between phenyl rings, and weak interactions (distances > 8.0 Å).

Figure 9. The crystal structure of reboxetine mesylate Form 2, viewed down the a-axis. Image generated using Diamond (Crystal Impact, 2023).
Analysis of the contributions to the total crystal energy of the structure using the Forcite module of Materials Studio (Dassault Systèmes, 2024) indicates that angle distortion terms dominate the intramolecular energy. The intermolecular energy is dominated by van der Waals attractions and electrostatic repulsions, which, in this force field-based analysis, also include hydrogen bonds. The hydrogen bonds are better discussed using the results of the DFT calculation.
As expected, each protonated N in the morpholine rings acts as a donor in a strong N–H···O hydrogen bond to an anion (Table III). The energies of the N–H···O hydrogen bonds were calculated using the correlation of Wheatley and Kaduk (Reference Wheatley and Kaduk2019). These hydrogen bonds link the cations and the anions into zig-zag chains along the a-axis (Figure 10). There are many C–H···O hydrogen bonds between the cations and the anions, and also two C–H···O hydrogen bonds between the cations.
TABLE III. Hydrogen bonds (CRYSTAL23) in reboxetine mesylate Form 2


Figure 10. The hydrogen-bonded chains in reboxetine mesylate Form 2. The a-axis is horizontal. Image generated using Mercury (Macrae et al., Reference Macrae, Sovago, Cottrell, Galek, McCabe, Pidcock and Platings2020).
In Form 1, the protonated N in the morpholine ring also acts as a donor in two strong N–H···O hydrogen bonds to an anion (Table IV). In this form, two cations and two anions form a ring, with a graph set R4,4(12) (Etter, Reference Etter1990; Bernstein et al., Reference Bernstein, Davis, Shimoni and Chang1995; Motherwell et al., Reference Motherwell, Shields and Allen2000) (Figure 11). Several C–H···O hydrogen bonds, as well as cation–anion, anion–cation, and cation–cation interactions, also contribute to the lattice energy.
TABLE IV. Hydrogen bonds (CRYSTAL23) in reboxetine mesylate Form 1

a Intramolecular.

Figure 11. The hydrogen-bonded rings in reboxetine mesylate Form 1. Image generated using Mercury (Macrae et al., Reference Macrae, Sovago, Cottrell, Galek, McCabe, Pidcock and Platings2020).
The volume enclosed by the Hirshfeld surface of reboxetine mesylate Form 2 (Figure 12; Hirshfeld, Reference Hirshfeld1977; Spackman et al., Reference Spackman, Turner, McKinnon, Wolff, Grimwood, Jayatilaka and Spackman2021) is 980.45 Å3, 98.67% of one-fourth of the unit cell volume. The packing density is thus typical. The only significant close contacts (red in Figure 12) involve the hydrogen bonds. The volume/non-hydrogen atom is typical at 17.7 Å3.

Figure 12. The Hirshfeld surface of reboxetine mesylate Form 2. The intermolecular contacts longer than the sum of the van der Waals radii are colored blue, and the contacts shorter than the sum of the radii are colored red. The contacts equal to the sum of radii are white. Image generated using CrystalExplorer (Spackman et al., Reference Spackman, Turner, McKinnon, Wolff, Grimwood, Jayatilaka and Spackman2021).
The Bravais–Friedel–Donnay–Harker (Bravais, Reference Bravais1866; Friedel, Reference Friedel1907; Donnay and Harker, Reference Donnay and Harker1937) algorithm suggests that we might expect isotropic morphology for reboxetine mesylate. A second-order spherical harmonic model was included in the refinement. The texture index was 1.020(0), indicating that the preferred orientation was slight in this rotated capillary specimen.
DEPOSITED DATA
The powder pattern of reboxetine mesylate from this synchrotron dataset has been submitted to the International Centre for Diffraction Data (ICDD) for inclusion in the Powder Diffraction File. The Crystallographic Information Framework (CIF) files containing the results of the Rietveld refinement (including the raw data) and the DFT geometry optimization were deposited with the ICDD. The data can be requested at pdj@icdd.com.
ACKNOWLEDGEMENTS
We thank Adam Leontowich for his assistance in the data collection. We also thank the ICDD team – Megan Rost, Steve Trimble, and Dave Bohnenberger – for their contribution to research, sample preparation, and in-house XRD data collection and verification. We also thank Tamir Gonen of UCLA for supplying the coordinates for Form 1.
FUNDING STATEMENT
Part or all of the research described in this paper was performed at the Canadian Light Source, a national research facility of the University of Saskatchewan, which is supported by the Canada Foundation for Innovation (CFI), the Natural Sciences and Engineering Research Council (NSERC), the Canadian Institute of Health Research (CIHR), the Government of Saskatchewan, and the University of Saskatchewan. This work was partially supported by the International Centre for Diffraction Data.
COMPETING INTEREST
The authors have no competing interests to declare.



