Hostname: page-component-68c7f8b79f-j6k2s Total loading time: 0 Render date: 2025-12-22T18:27:53.249Z Has data issue: false hasContentIssue false
Accepted manuscript

Efficacy of herbicides and application methods for management of midstory Callery pear (Pyrus calleryana)

Published online by Cambridge University Press:  26 November 2025

Emilee M. Poole
Affiliation:
Entomologist, USDA Forest Service, Southern Research Station, Athens, GA, USA
Christopher Crowe
Affiliation:
Forestry Technician, USDA Forest Service, Southern Research Station, Athens, GA, USA
David R. Coyle
Affiliation:
Associate Professor, Clemson University, Department of Forestry and Environmental Conservation, Clemson, SC, USA
Ryan Armbrust
Affiliation:
Forest Health Program Coordinator, Kansas Forest Service, Manhattan, KS, USA
David Jenkins
Affiliation:
Forest Health Coordinator, South Carolina Forestry Commission, Columbia, SC, USA
Chip Bates
Affiliation:
Forest Health Coordinator, Retired, Georgia Forestry Commission, Statesboro, GA, USA
Daniel B. Hall
Affiliation:
Professor and Director of the Statistical Consulting Center, Department of Statistics, University of Georgia, Athens, GA 30602-7952
Hanna Kim
Affiliation:
Graduate Student Consultant, Statistical Consulting Center, Department of Statistics, University of Georgia, Athens, GA 30602-7952
James T. Vogt*
Affiliation:
Center Director, USDA Forest Service, Southern Research Station, Athens, GA, USA
*
Author for correspondence: James T. Vogt; Email: james.t.vogt@usda.gov
Rights & Permissions [Opens in a new window]

Abstract

Core share and HTML view are not available for this content. However, as you have access to this content, a full PDF is available via the ‘Save PDF’ action button.

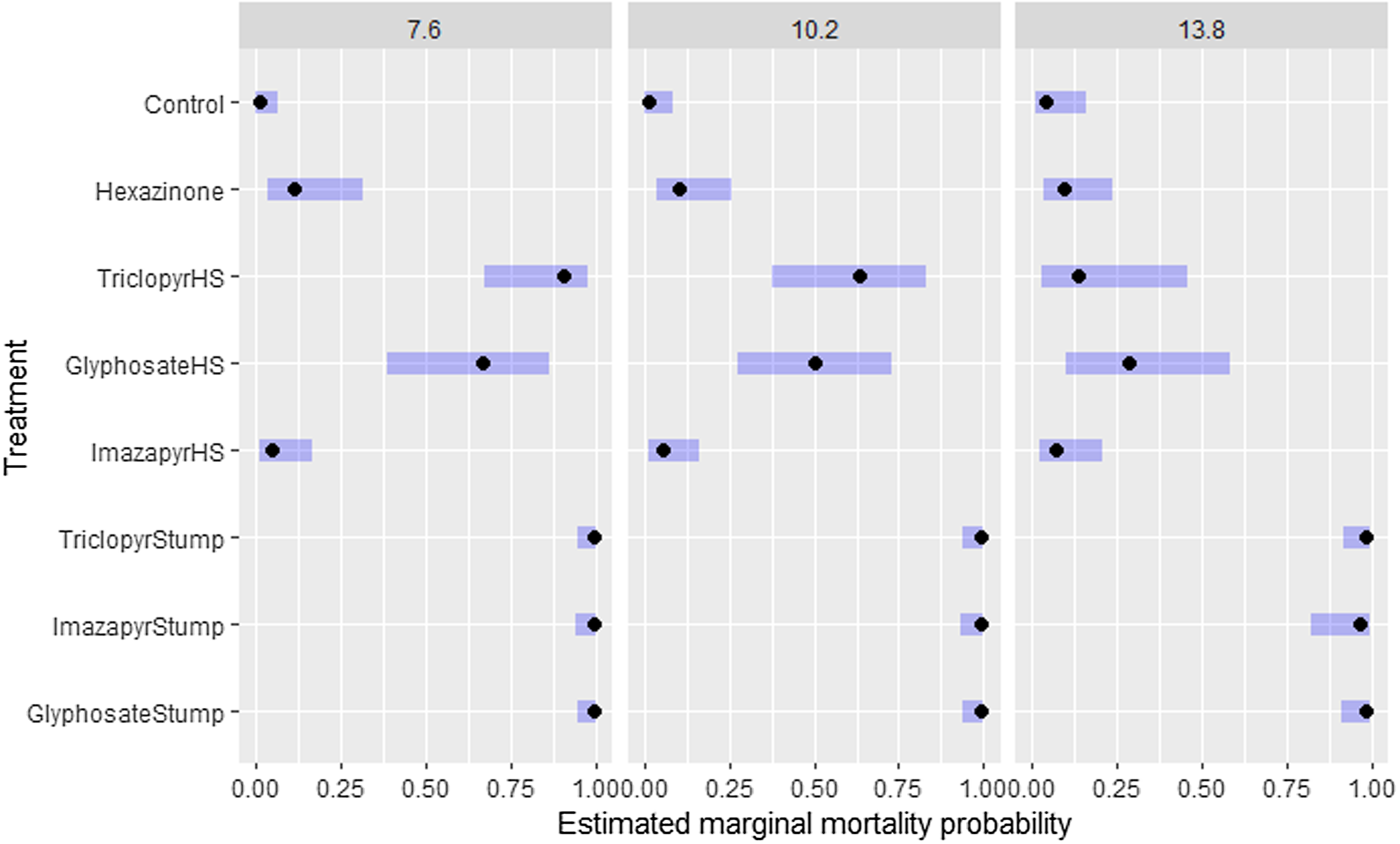
Callery pear (Pyrus calleyana Decne.) is a problematic woody invasive plant in eastern North America that invades old fields, forests, and disturbed sites. While management guidance typically suggests foliar, basal bark, cut stump, and hack-and-squirt applications of herbicides for P. calleryana, there is a dearth of studies focusing on the efficacy of specific treatments. We evaluated seven herbicide treatments for control of midstory P. calleryana. Cut stump and hack and squirt applications of glyphosate, imazapyr, and triclopyr and a soil application of hexazinone were repeated at six sites within Georgia, Kansas, and South Carolina, and all study trees were monitored for approximately one year after herbicide application. Cut stump applications of glyphosate, imazapyr, and triclopyr provided the most consistent control with no resprouting and 100% mortality. Hack-and-squirt applications of glyphosate and triclopyr resulted in approximately 80% probability of mortality one year after treatment, while hack-and-squirt application of imazapyr and soil application of hexazinone averaged only 20 and 25% probability of mortality, respectively. Our results demonstrate the efficacy of seven treatment options for P. calleryana control in three geographic locations with varied habitat types, and our data suggest that cut stump applications of glyphosate, imazapyr, or triclopyr or hack-and-squirt application of glyphosate or triclopyr may be useful for reducing populations of P. calleryana. that have grown past the sapling stage.

Information

Type
Research Article
Creative Commons
Creative Common License - CCCreative Common License - BYCreative Common License - NCCreative Common License - ND
This is an Open Access article, distributed under the terms of the Creative Commons Attribution-NonCommercial-NoDerivatives licence (http://creativecommons.org/licenses/by-nc-nd/4.0/), which permits non-commercial re-use, distribution, and reproduction in any medium, provided the original work is unaltered and is properly cited. The written permission of Cambridge University Press must be obtained for commercial re-use or in order to create a derivative work.
Copyright
© The Author(s), 2025. Published by Cambridge University Press on behalf of Weed Science Society of America