1 Introduction
Let E be an elliptic curve over
$\mathbf {Q}$
(hence modular [Reference Wiles51, Reference Taylor and Wiles46, Reference Breuil, Conrad, Diamond and Taylor8]) with associated L-function
$L(E,s)$
. In the late 1980s, a major advance towards the Birch and Swinnerton-Dyer (BSD) conjecture was the proof, by Gross–Zagier and Kolyvagin, of the implication
In the proof of
$(1.1)$
an imaginary quadratic field
$K/\mathbf {Q}$
is chosen such that
$\text {ord}_{s=1}L(E/K,s)=1$
and for which a Heegner point
$y_{K}\in E(\mathbf {Q})$
can be constructed using the theory of complex multiplication and a modular parametrisation of E. By the Gross–Zagier formula [Reference Gross and Zagier21], the nonvanishing of
$L^{\prime }(E/K,1)$
implies that
$y_{K}$
has infinite order and the proof of (1.1) is reduced to the proof of the implication
which is a celebrated theorem by Kolyvagin [Reference Kolyvagin31].
A more recent major advance towards BSD arises from the works of Kato [Reference Kato29], Skinner–Urban [Reference Skinner and Urban45] and Xin Wan [Reference Wan49] on the Iwasawa main conjectures for elliptic modular forms, which, in particular, yield a proof of a p-converse to (1.2)
for certain primes p of good ordinary reduction for E, an implication first realised by Skinner [Reference Skinner43]. (A different proof of (1.3) was obtained independently by Wei Zhang [Reference Zhang53] as a consequence of his proof of Kolyvagin’s conjecture.) Together with the Gross–Zagier formula, (1.3) yields a p-converse to the theorem
$(1.1)$
of Gross–Zagier and Kolyvagin.
It is natural to ask about the extension of these results to elliptic curves
$E/\mathbf {Q}$
of rank
$r>1$
. As a first step in this direction, in this article we prove certain analogues of (1.2) and (1.3) in rank 2, with
$y_{K}$
replaced by a generalised Kato class
introduced by Darmon–Rotger. Here,
$\text {Sel}(\mathbf {Q},V_{p}E)\subseteq \text {H}^{1}(\mathbf {Q},V_{p}E)$
is the p-adic Selmer group fitting into the exact sequence
where
is the p-adic Tate module of the Tate–Shafarevich group
.
1.1 The Darmon–Rotger conjecture
We begin by briefly recalling the construction of
$\kappa _{p}$
by Darmon–Rotger [Reference Darmon and Rotger18, Reference Darmon and Rotger17]. One starts by associating a global cohomology class
$$ \begin{align*} \kappa_{\gamma,\delta}(f,g,h)\in\textrm{H}^{1}(\mathbf{Q},V_{fgh}),\nonumber \end{align*} $$
where
$V_{fgh}=V_{p}(f)\otimes V_{p}(g)\otimes V_{p}(h)$
is the tensor product of the p-adic Galois representations associated to f, g and h to the data of
-
• a triple of eigenforms
$(f,g,h)\in S_{2}(\Gamma _{0}(N_{f}))\times S_{1}(\Gamma _{0}(N_{g}),\chi )\times S_{1}(\Gamma _{0}(N_{h}),\bar {\chi })$
of weights
$(2,1,1)$
and levels prime-to-p with (1.4)
$$ \begin{align} \textrm{gcd}(N_{f},N_{g}N_{h})=1, \end{align} $$
-
• a choice of roots
$\gamma \in \{\alpha _{g},\beta _{g}\}$
and
$\delta \in \{\alpha _{h},\beta _{h}\}$
of the Hecke polynomials of g and h at p, assumed to be regular; that is,
$\alpha _{g}\neq \beta _{g}$
and
$\alpha _{h}\neq \beta _{h}$
.
Letting
$g^{\flat }$
and
$h^{\flat }$
be the p-stabilisations of g and h with
$U_{p}$
-eigenvalue
$\gamma $
and
$\delta $
, the class
$\kappa _{\gamma ,\delta }(f,g,h)$
is defined as the p-adic limit
$$ \begin{align} \kappa_{\gamma,\delta}(f,g,h):=\lim_{\ell\to 1}\kappa(f,{\boldsymbol{g}}_{\ell},{\boldsymbol{h}}_{\ell}), \end{align} $$
where
$({\boldsymbol {g}}_{\ell },{\boldsymbol {h}}_{\ell })$
runs over the classical weight
$\ell \geqslant 2$
specialisations of Hida families
${\boldsymbol {g}}$
and
${\boldsymbol {h}}$
passing through
$g^{\flat }$
and
$h^{\flat }$
in weight
$1$
, and
$\kappa (f,{\boldsymbol {h}}_{\ell },{\boldsymbol {h}}_{\ell })$
is obtained from the p-adic étale Abel–Jacobi image of generalised Gross–Kudla–Schoen diagonal cycles [Reference Gross and Kudla20, Reference Gross and Schoen22].
Remark 1.1. Under assumption (1.4), the sign in the functional equation for the triple product L-series
$L(s,f\otimes {\boldsymbol {g}}_{\ell }\otimes {\boldsymbol {h}}_{\ell })$
is
$-1$
for all
$\ell \geqslant 2$
; in particular,
$L(1,f\otimes {\boldsymbol {g}}_{\ell }\otimes {\boldsymbol {h}}_{\ell })=0$
, and by the Gross–Zagier formula for diagonal cycles (proved in [Reference Yuan, Zhang and Zhang52] for
$\ell =2$
) the classes
$\kappa (f,{\boldsymbol {g}}_{\ell },{\boldsymbol {h}}_{\ell })$
should be nontrivial precisely when
$L^{\prime }(1,f\otimes {\boldsymbol {g}}_{\ell }\otimes {\boldsymbol {h}}_{\ell })\neq 0$
. On the other hand, the global root number of
$L(s,f\otimes g\otimes h)$
is
$+1$
and it is precisely this sign change phenomenon between weights
$\ell \geqslant 2$
and
$\ell =1$
that makes it possible for the p-adic limit construction (1.5) to yield interesting cohomology classes in situations of even analytic rank; in fact, as we recall below, classes that are crystalline at p precisely when
$\text {ord}_{s=1}L(s,f\otimes g\otimes h)\geqslant 2$
.
Under the hypothesis that
$p>3$
is a prime of good ordinary reduction for f, the explicit reciprocity law of [Reference Darmon and Rotger18] yields a formula of the form
where
$\text {exp}_{p}^{*}:\text {H}^{1}(\mathbf {Q},V_{fgh})\rightarrow {\mathbf {Q}}_{p}$
is the composition of the restriction map
$$ \begin{align*} \textrm{Loc}_{p}:\textrm{H}^{1}(\mathbf{Q},V_{fgh})\rightarrow\textrm{H}^{1}({\mathbf{Q}}_{p},V_{fgh}) \end{align*} $$
with the dual exponential map of Bloch–Kato [Reference Bloch and Kato7] paired against a differential associated to
$(f,g,h)$
. As a result, the class
$\kappa _{\gamma ,\delta }(f,g,h)$
is crystalline at p and therefore lands in the Bloch–Kato Selmer group
$\text {Sel}(\mathbf {Q},V_{fgh})\subset \text {H}^{1}(\mathbf {Q},V_{fgh})$
, precisely when
$L(s,f\otimes g\otimes h)$
vanishes at
$s=1$
. With the different choices for
$\gamma $
and
$\delta $
, one thus obtains four – a priori distinct – classes
$\kappa _{\gamma ,\delta }(f,g,h)\in \text {Sel}(\mathbf {Q},V_{fgh})$
whenever
$L(1,f\otimes g\otimes h)=0$
, and Darmon–Rotger conjectured (see [Reference Darmon and Rotger17, Conj. 3.2]) that the following are equivalent:
-
(a) the classes
$\kappa _{\gamma ,\delta }(f,g,h)$
span a nontrivial subspace of
$\text {Sel}(\mathbf {Q},V_{fgh})$
, -
(b)
$\text {dim}_{{\mathbf {Q}}_{p}}\text {Sel}(\mathbf {Q},V_{fgh})=2$
,
assuming for simplicity that the Hecke fields of f, g and h embed into
${\mathbf {Q}}_{p}$
.
The adjoint rank
$(2,0)$
setting
The construction of
$\kappa _{\gamma ,\delta }(f,g,h)$
yields classes with a bearing on the arithmetic of elliptic curves
$E/\mathbf {Q}$
by taking f to be the newform associated to E and
$h=g^{*}$
to be the dual of g, so that the triple tensor product
$V_{fgg^{*}}$
decomposes as
$$ \begin{align} V_{fgg^{*}}\simeq V_{p}E\oplus\big(V_{p}E\otimes\textrm{ad}^{0}V_{p}(g)\big), \end{align} $$
where
$\text {ad}^{0}V_{p}(g)$
is the 3-dimensional
$G_{\mathbf {Q}}$
-representation on the space of trace zero endomorphisms of
$V_{p}(g)$
. Correspondingly,
$L(s,f\otimes g\otimes g^{*})$
factors as
In particular, the above construction yields the four generalised Kato classes
$$ \begin{align} \kappa_{\alpha_{g},\alpha_{g}^{-1}}(f,g,g^{*}),\quad\kappa_{\alpha_{g},\beta_{g}^{-1}}(f,g,g^{*}),\quad\kappa_{\beta_{g},\alpha_{g}^{-1}}(f,g,g^{*}),\quad\kappa_{\beta_{g},\beta_{g}^{-1}}(f,g,g^{*}) \end{align} $$
landing (thanks to the explicit reciprocity law (1.6)) in the Selmer group
$$ \begin{align*} \textrm{Sel}(\mathbf{Q},V_{fgg^{*}})\simeq\textrm{Sel}(\mathbf{Q},V_{p}E)\oplus\textrm{Sel}(\mathbf{Q},V_{p}E\otimes\textrm{ad}^{0}V_{p}(g)) \end{align*} $$
whenever
$L(E,1)=0$
. Since one expects
$L(E,\text {ad}^{0}(g),1)\neq 0\Longleftrightarrow \text {Sel}(\mathbf {Q},V_{p}E\otimes \text {ad}^{0}V_{p}(g))=0$
by the Bloch–Kato conjecture, the nonvanishing criterion in [Reference Darmon and Rotger17, Conj. 3.2] leads to the following prediction (see the ‘adjoint rank
$(2,0)$
setting’ discussed in [Reference Darmon and Rotger18, §4.5.3]).
Conjecture 1.2 Darmon–Rotger
Suppose that
$L(E,s)$
has sign
$+1$
and vanishes at
$s=1$
and that
$L(E,\mathrm {ad}^{0}(g),1)\neq 0$
. Then the following are equivalent:
-
(i) the four classes in
$(1.8)$
span a nontrivial subspace of
$\text {Sel}(\mathbf {Q},V_{p}E)$
. -
(ii)
$\text {dim}_{{\mathbf {Q}}_{p}}\text {Sel}(\mathbf {Q},V_{p}E)=2$
.
Remark 1.3. Of course, by the Birch and Swinnerton-Dyer conjecture, condition (ii) in Conjecture 1.2 should be equivalent to the condition
$\text {ord}_{s=1}L(E,s)=2$
.
Remark 1.4. Note that Conjecture 1.2 does not predict that the four classes in (1.8) generate
$\text {Sel}(\mathbf {Q},V_{p}E)$
. In fact, a strengthtening of the elliptic Stark conjectures in [Reference Darmon, Lauder and Rotger16] predicts that in the setting of Conjecture 1.2 only the classes
$\kappa _{\alpha _{g},\alpha _{g}^{-1}}(f,g,g^{*})$
and
$\kappa _{\beta _{g},\beta _{g}^{-1}}(f,g,g^{*})$
are nonzero and that they are the same class up to a nonzero algebraic constant. Our results also confirm this prediction (see Remark 1.6 and Subsection 5.7 for further details).
1.2 Statement of the main results
In this article, we prove Conjecture 1.2 in the case when the auxiliary eigenform g has complex multiplication, assuming
(in fact, a weaker condition suffices) for one of the implications.
As before, let
$E/\mathbf {Q}$
be an elliptic curve with good ordinary reduction at
$p>3$
and let
$f\in S_{2}(\Gamma _{0}(N_{f}))$
be the associated newform. Let K be an imaginary quadratic field of discriminant prime of
$N_{f}$
in which
$(p)={\mathfrak p}\overline {{\mathfrak p}}$
splits and let
$\psi $
be a ray class character of K of conductor prime to
$pN_{f}$
valued in a number field L. The weight 1 theta series
$g=\theta _{\psi }$
then satisfies
where
$E^{K}$
is the twist of E by the quadratic character associated to K and
$\chi $
is the ring class character given by
$\psi /\psi ^{\tau }$
, for
$\psi ^{\tau }$
the composition of
$\psi $
with the action of complex conjugation
$\tau $
. In this case,
$\alpha _{g}=\psi (\overline {\mathfrak {p}})$
and
$\beta _{g}=\psi (\mathfrak {p})$
are the roots of the Hecke polynomial of g and p, which we shall simply denote by
$\alpha $
and
$\beta $
, respectively, and
$g^{*}$
is the theta series of
$\psi ^{-1}$
. As in the formulation of the conjectures in [Reference Darmon and Rotger17], we assume that
$\alpha _{g}\neq \beta _{g}$
; that is,
$\chi (\overline {{\mathfrak p}})\neq 1$
.
Let
$\bar {\rho }_{E,p}:G_{\mathbf {Q}}\rightarrow \text {Aut}_{\mathbf {F}_{p}}(E[p])$
be the mod p representation associated to E and denote by
$N_{f}^{-}$
the largest factor of
$N_{f}$
divisible only by primes that are inert in K. Finally, let
$$ \begin{align*} \textrm{Loc}_{p}:\textrm{Sel}(\mathbf{Q},V_{p}E)\rightarrow\textrm{H}^{1}({\mathbf{Q}}_{p},V_{p}E) \end{align*} $$
be the restriction map at p.
Theorem A. Suppose that
$L(E,s)$
has sign
$+1$
and vanishes at
$s=1$
and that the value
is nonzero. Suppose also that
-
•
$\bar {\rho }_{E,p}$
is irreducible, -
•
$N_{f}^{-}$
is the squarefree of an odd number of primes, -
•
$\bar {\rho }_{E,p}$
is ramified at every prime
$q\vert N_{f}^{-}$
.
Then
$\kappa _{\alpha ,\beta ^{-1}}(f,g,g^{*})=\kappa _{\beta ,\alpha ^{-1}}(f,g,g^{*})=0$
and the following hold:
and, conversely,

In particular, if
$\mathrm{Sel}(\mathbf {Q},V_{p})\neq \mathrm{ker}(\mathrm{Loc}_{p})$
, then Conjecture 1.2 holds.
Remark 1.5. The condition
$\text {Sel}(\mathbf {Q},V_{p}E)\neq \text {ker}(\text {Loc}_{p})$
should always hold when
$\text {Sel}(\mathbf {Q},V_{p}E)\neq 0$
. Indeed, if
$\text {Sel}(\mathbf {Q},V_{p}E)$
equals
$\text {ker}(\text {Loc}_{p})$
, then
$E(\mathbf {Q})$
must be finite (since
$E(\mathbf {Q})$
injects into
$E({\mathbf {Q}}_{p})$
), so if also
$\text {Sel}(\mathbf {Q},V_{p}E)\neq 0$
, we would conclude that
is infinite.
Remark 1.6. It also follows from our results that, for
$g=\theta _{\psi }$
as above, the classes
$\kappa _{\alpha ,\alpha ^{-1}}(f,g,g^{*})$
and
$\kappa _{\beta ,\beta ^{-1}}(f,g,g^{*})$
are the same up to a nonzero algebraic constant and they span the p-adic line
where
$\text {log}_{p}:\text {Sel}(\mathbf {Q},V_{p}E)\rightarrow {\mathbf {Q}}_{p}$
is the composition of
$\text {Loc}_{p}$
with the formal group logarithm of E. When
, it is suggestive to view
$\mathscr {L}_{p}$
as the line spanned by the image of
$$ \begin{align*} P\wedge Q:=P\otimes Q-Q\otimes P\in \bigwedge^{2}(E(\mathbf{Q})\otimes\mathbf{Q}) \end{align*} $$
under the natural map
$$ \begin{align*} \textrm{Log}_{p}:\bigwedge^{2}(E(\mathbf{Q})\otimes\mathbf{Q})\rightarrow E(\mathbf{Q})\otimes{\mathbf{Q}}_{p} \end{align*} $$
induced by
$\text {log}_{p}$
. This is consistent with predictions by Darmon–Rotger (see [Reference Darmon and Rotger17, §4.5.3]) and suggests the view
$\kappa _{\alpha ,\alpha ^{-1}}(f,g,g^{*})$
as a ‘p-adic shadow’ of a rank 2 motivic regulator.
Remark 1.7. Note that the implications (1.9) and (1.10) in Theorem A are rank 2 analogues of the implications (1.2) and (1.3) by Kolyvagin and Skinner, respectively.
The key new ingredient in the proof of Theorem A is a leading term formula for an anticyclotomic p-adic L-function
attached to
$E/K$
in terms of anticyclotomic derived p-adic heights (see Theorem 5.3). This formula applies in arbitrary order of vanishing of
$\Theta _{f/K}$
at
$T=0$
and, in particular, it allows us to deduce the following p-adic analytic criterion for the nonvanishing of generalised Kato classes.
Theorem B. Under the hypotheses of Theorem A, assume in addition that
$\mathrm{rank}_{\mathbf {Z}}E(\mathbf {Q})>0$
. Then the following implication holds:
The same result holds with
$\kappa _{\alpha ,\alpha ^{-1}}(f,g,g^{*})$
replaced by
$\kappa _{\beta ,\beta ^{-1}}(f,g,g^{*})$
.
Remark 1.8. If
$\bar {\rho }_{E,p}$
is irreducible and ramified at some prime
$q\neq p$
(e.g., if E is semistable and
$p\geqslant 11$
is good ordinary for E, by [Reference Ribet39] and [Reference Mazur33]), the nonvanishing results of [Reference Bump, Friedberg and Hoffstein9] and [Reference Vatsal48] assure the existence of infinitely many imaginary quadratic fields K and ring class characters
$\chi $
such that
-
• q is inert in K,
-
• every prime factor of
$N_{f}/q$
splits in K, -
•
$L(E,\text {ad}^{0}(g),1)=L(E^{K},1)\cdot L(E/K,\chi ,1)\neq 0$
.
Thus, Theorem B suggests a general construction of nontrivial p-adic Selmer classes for rational elliptic curves of rank 2.
Remark 1.9. In the Appendix to this article, we apply Theorem B to numerically verify the nonvanishing of generalised Kato classes for specific rational elliptic curves of algebraic and analytic rank 2, a task that was left as ‘an interesting challenge’ by Darmon–Rotger (see [Reference Darmon and Rotger17, p. 31]).
Remark 1.10. Assume that
$\text {rank}_{\mathbf {Z}}E(\mathbf {Q})=2$
and
. A refinement of Conjecture 1.2 predicting the position of
$\kappa _{\gamma ,\delta }(f,g,g^{*})$
relative to the natural rational structure on
$\text {Sel}(\mathbf {Q},V_{p}E)=E(\mathbf {Q})\otimes {\mathbf {Q}}_{p}$
then leads to the expectation
$$ \begin{align} \kappa_{\alpha,\alpha^{-1}}(f,g,g^{*})\;\overset{?}\sim_{\overline{\mathbf{Q}}^{\times}}\;\textrm{Log}_{p}(P\wedge Q)\;\overset{?}\sim_{\overline{\mathbf{Q}}^{\times}}\;\kappa_{\beta,\beta^{-1}}(f,g,g^{*}), \end{align} $$
where
$(P, Q)$
is any basis for
$E(\mathbf {Q})\otimes \mathbf {Q}$
and
$\sim _{\overline {\mathbf {Q}}^{\times }}$
denotes equality up to multiplication by a nonzero algebraic number. Our results confirm the predicted relation
$\kappa _{\alpha ,\alpha ^{-1}}(f,g,g^{*})\sim _{\overline {\mathbf {Q}}^{\times }}\kappa _{\beta ,\beta ^{-1}}(f,g,g^{*})$
, and in Theorem 5.5 we show that
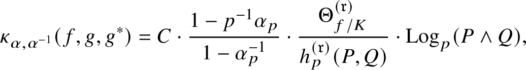
$$ \begin{align*} \kappa_{\alpha,\alpha^{-1}}(f,g,g^{*})\sim_{\mathbf{Q}^{\times}}C\cdot \frac{1-p^{-1}\alpha_{p}}{1-\alpha_{p}^{-1}}\cdot\frac{\Theta_{f/K}^{(\mathfrak{r})}}{h_{p}^{(\mathfrak{r})}(P,Q)}\cdot\textrm{Log}_{p}(P\wedge Q), \nonumber \end{align*} $$
where C is a nonzero algebraic number,
$\alpha _{p}$
is the p-adic unit root of
$x^{2}-a_{p}(E)x+p$
(with
$a_{p}(E)=p+1-\#E(\mathbf {F}_{p})$
as usual),
$\Theta _{f/K}^{(\mathfrak {r})}$
is the leading term of
$\Theta _{f/K}$
at
$T=0$
and
$h_{p}^{(\mathfrak {r})}$
is the anticyclotomic
$\mathfrak {r}$
th derived p-adic height pairing. In particular, this implies that the conjectured algebraicity in
$(1.11)$
follows from a p-adic Birch and Swinnerton-Dyer conjecture refining [Reference Bertolini and Darmon4, Conj. 4.3] (see Subsection 5.7).
1.3 Relation to previous work
Prior to this article, the only general results (known to the authors) on the existence on nonzero Selmer classes for elliptic curves
$E/\mathbf {Q}$
of rank
$r>1$
are in forthcoming work of Skinner–Urban (see [Reference Urban47] for a report). Their methods, which extend those outlined in their ICM address [Reference Skinner and Urban44] for cuspidal eigenforms of weight
$k\geqslant 4$
, are completely different from ours.
On the other hand, Darmon–Rotger [Reference Darmon and Rotger18] exhibited, under a certain nonvanishing hypothesis, the existence of two linearly independent classes in the Selmer groups
$\text {Sel}(\mathbf {Q},V_{p}E\otimes \varrho )$
of elliptic curves
$E/\mathbf {Q}$
twisted by degree 4 Artin representations
$\varrho $
. The required nonvanishing is that of a special value
$\mathscr {L}_{p}^{g_{\alpha }}$
of a certain p-adic L-function. Both their works and ours exploit the construction of generalised Kato classes introduced in [Reference Darmon and Rotger18], but in the setting we have placed ourselves in, the special value
$\mathscr {L}_{p}^{g_{\alpha }}$
vanishes. The proofs of our main results are based on anticyclotomic Iwasawa theory and derived p-adic heights, both of which make no appearance in [Reference Darmon and Rotger18].
2 Triple products and theta elements
In this section we describe the triple product p-adic L-function for Hida families [Reference Hsieh28] and recall its relation with the square-root anticyclotomic p-adic L-functions of Bertolini–Darmon [Reference Bertolini and Darmon4].
2.1 Ordinary
$\Lambda $
-adic forms
Fix a prime
$p>2$
. Let
$\mathbb {I}$
be a normal domain finite flat over
, where
$\mathcal O$
is the ring of integers of a finite extension
$L/{\mathbf {Q}}_{p}$
. We say that a point
$x\in \text {Spec}\;\mathbb {I}(\overline {\mathbf {Q}}_{p})$
is locally algebraic if its restriction to
$1+p\mathbf {Z}_{p}$
is given by
$x(\gamma )=\gamma ^{k_{x}}\epsilon _{x}(\gamma )$
for some integer
$k_{x}$
, called the weight of x and some finite-order character
$\epsilon _{x}:1+p\mathbf {Z}_{p}\rightarrow \mu _{p^{\infty }}$
; we say that x is arithmetic if it has weight
$k_{x}\geqslant 2$
. Let
$\mathfrak {X}_{\mathbb {I}}^{+}$
be the set of arithmetic points.
Fix a positive integer N prime to p and let
$\chi :(\mathbf {Z}/Np\mathbf {Z})^{\times }\rightarrow \mathcal O^{\times }$
be a Dirichlet character modulo
$Np$
. Let
$S^{o}(N,\chi ,\mathbb {I})$
be the space of ordinary
$\mathbb {I}$
-adic cusp forms of tame level N and branch character
$\chi $
, consisting of formal power series

such that for every
$x\in \mathfrak {X}_{\mathbb {I}}^{+}$
the specialisation
$\boldsymbol {f}_{x}(q)$
is the q-expansion of a p-ordinary cusp form
$\boldsymbol {f}_{x}\in S_{k_{x}}(Np^{r_{x}+1},\chi \omega ^{2-k_{x}}\epsilon _{x})$
. Here
$r_{x}$
is such that
$\epsilon _{x}(1+p)$
has exact order
$p^{r_{x}}$
and
$\omega :(\mathbf {Z}/p\mathbf {Z})^{\times }\rightarrow \mu _{p-1}$
is the Teichmüller character.
We say that
$\boldsymbol {f}\in S^{o}(N,\chi ,\mathbb {I})$
is a primitive Hida family if for every
$x\in \mathfrak {X}_{\mathbb {I}}^{+}$
we have that
$\boldsymbol {f}_{x}$
is an ordinary p-stabilised newform (in the sense of [Reference Hsieh28, Def. 2.4]) of tame level N. Given a primitive Hida family
${\boldsymbol {f}}\in S^{o}(N,\chi ,\mathbb {I})$
and writing
$\chi =\chi ^{\prime }\chi _{p}$
with
$\chi ^{\prime }$
(respectively
$\chi _{p}$
) a Dirichlet modulo N (respectively p), there is a primitive Hida family
${{\boldsymbol {f}}}^{\iota }\in S^{o}(N,\chi _{p}\overline {\chi }^{\prime },\mathbb {I})$
with Fourier coefficients
$$ \begin{align*} a_{\ell}({{\boldsymbol{f}}}^{\iota})= \begin{cases} \overline{\chi}^{\prime}(\ell)a_{\ell}({\boldsymbol{f}})&\mbox{if }\ell \nmid N{,}\\ a_{\ell}({\boldsymbol{f}})^{-1}\chi_{p}\omega^{2}(\ell)\langle\ell\rangle_{\mathbb{I}}\ell^{-1}& \mbox{if }\ell\mid N{,} \end{cases} \\[-15pt]\end{align*} $$
having the property that for every
$x\in \mathfrak {X}_{\mathbb {I}}^{+}$
the specialisation
${{\boldsymbol {f}}}^{\iota }_{x}$
is the p-stabilised newform attached to the character twist
${\boldsymbol {f}}_{x}\otimes \overline {\chi }^{\prime }$
.
By [Reference Hida24] (cf. [Reference Wiles50, Thm. 2.2.1]), attached to every primitive Hida family
${\boldsymbol {f}}\in S^{o}(N,\chi ,\mathbb {I})$
there is a continuous
$\mathbb {I}$
-adic representation
$\rho _{\boldsymbol {f}}:G_{\mathbf {Q}}\rightarrow \text {GL}_{2}(\text {Frac}\,\mathbb {I})$
which is unramified outside
$Np$
and such that for every prime
$\ell \nmid Np$
,
$$ \begin{align*} \textrm{tr}\;\rho_{\boldsymbol{f}}(\textrm{Frob}_{\ell})=a_{\ell}({\boldsymbol{f}}), \quad \textrm{det}\;\rho_{{\boldsymbol{f}}}(\textrm{Frob}_{\ell})=\chi\omega^{2}(\ell)\langle\ell\rangle_{\mathbb{I}}\ell^{-1}, \\[-15pt]\end{align*} $$
where
$\langle \ell \rangle _{\mathbb {I}}\in \mathbb {I}^{\times }$
is the image of
$\langle \ell \rangle :=\ell \omega ^{-1}(\ell )\in 1+p\mathbf {Z}_{p}$
under the natural map
In particular, letting
$\langle \varepsilon _{\text {cyc}}\rangle _{\mathbb {I}}:G_{\mathbf {Q}}\rightarrow \mathbb {I}^{\times }$
be defined by
$\langle \varepsilon _{\text {cyc}}\rangle _{\mathbb {I}}(\sigma )=\langle \varepsilon _{\text {cyc}}(\sigma )\rangle _{\mathbb {I}}$
, it follows that
$\rho _{\boldsymbol {f}}$
has determinant
$\chi _{\mathbb {I}}^{-1}\varepsilon _{\text {cyc}}^{-1}$
, where
$\chi _{\mathbb {I}}:G_{\mathbf {Q}}\rightarrow \mathbb {I}^{\times }$
is given by
$\chi _{\mathbb {I}}:=\sigma _{\chi }\langle \varepsilon _{\text {cyc}}\rangle ^{-2}\langle \varepsilon _{\text {cyc}}\rangle _{\mathbb {I}}$
, with
$\sigma _{\chi }$
the Galois character sending
$\text {Frob}_{\ell }\mapsto \chi (\ell )^{-1}$
. Moreover, by [Reference Wiles50, Thm. 2.2.2], the restriction of
$\rho _{\boldsymbol {f}}$
to
$G_{{\mathbf {Q}}_{p}}$
is given by
$$ \begin{align} \rho_{{\boldsymbol{f}}}\vert_{G_{{\mathbf{Q}}_{p}}}\sim\left(\begin{array}{cc}\psi_{\boldsymbol{f}}&*\\ 0&\psi_{{\boldsymbol{f}}}^{-1}\chi_{\mathbb{I}}^{-1}\varepsilon_{\textrm{cyc}}^{-1}\end{array}\right),\\[-15pt]\nonumber \end{align} $$
where
$\psi _{{\boldsymbol {f}}}:G_{{\mathbf {Q}}_{p}}\rightarrow \mathbb {I}^{\times }$
is the unramified character with
$\psi _{\boldsymbol {f}}(\text {Frob}_{p})=a_{p}({\boldsymbol {f}})$
.
Let
$T^{o}(N,\chi ,\mathbb {I})$
be the
$\mathbb {I}$
-algebra generated by Hecke operators acting on
$S^{0}(N,\chi ,\mathbb {I})$
, and let
$\lambda _{\boldsymbol f}:T^{o}(N,\chi ,\mathbb {I})\to \mathbb {I}$
be the
$\mathbb {I}$
-algebra homomorphism induced by
${\boldsymbol f}$
. Let
$C(\lambda _{\boldsymbol {f}})$
be the congruence module associated with
$\lambda _{\boldsymbol f}$
(see [Reference Hida25]). Under the following hypothesis:
it follows from results of Hida and Wiles that
$C(\lambda _{\boldsymbol {f}})$
is isomorphic to
$\mathbb {I}/(\eta _{{\boldsymbol {f}}})$
for some nonzero
$\eta _{\boldsymbol {f}}\in \mathbb {I}$
.
2.2 Triple product p-adic L-function
Let
be a triple of primitive Hida families. Set
which is a finite extension of the three-variable Iwasawa algebra
$\mathcal {R}_{0}:=\Lambda \hat {\otimes }_{\mathcal O}\Lambda \hat {\otimes }_{\mathcal O} \Lambda $
, and define the weight space
$\mathfrak {X}_{\mathcal {R}}^{\boldsymbol {f}}$
for the triple
$({\boldsymbol {f}},{\boldsymbol {g}},{\boldsymbol {h}})$
in the
${\boldsymbol {f}}$
-dominated unbalanced range by
$$ \begin{align} \mathfrak{X}_{\mathcal{R}}^{\boldsymbol{f}}:=\left\{ (x,y,z)\in\mathfrak{X}_{\mathbb{I}_{\boldsymbol{f}}}^{+}\times\mathfrak{X}_{\mathbb{I}_{\boldsymbol{g}}}^{\textrm{cls}}\times\mathfrak{X}_{\mathbb{I}_{\boldsymbol{h}}}^{\textrm{cls}}\;\colon\;k_{x}\geqslant k_{y}+k_{z}\;\textrm{and}\;k_{x}\equiv k_{y}+k_{z}\;(\textrm{mod}\;2)\right\}, \end{align} $$
where
$\mathfrak {X}_{\mathbb {I}_{{\boldsymbol {g}}}}^{\text {cls}}\supseteq \mathfrak {X}_{\mathbb {I}_{{\boldsymbol {g}}}}^{+}$
(and, similarly,
$\mathfrak {X}_{\mathbb {I}_{{\boldsymbol {h}}}}^{\text {cls}}$
) is the set of locally algebraic points in
$\text {Spec}\,{\mathbb {I}_{\boldsymbol {g}}}(\overline {\mathbf {Q}}_{p})$
for which
${\boldsymbol {g}}_{x}(q)$
is the q-expansion of a classical modular form.
For
$\boldsymbol {\phi }\in \{{\boldsymbol {f}},{\boldsymbol {g}},{\boldsymbol {h}}\}$
and a positive integer N prime to p and divisible by
$N_{\boldsymbol {\phi }}$
, define the space of
$\Lambda $
-adic test vectors
$S^{o}(N,\chi _{\boldsymbol {\phi }},\mathbb {I}_{\boldsymbol {\phi }})[\boldsymbol {\phi }]$
of level N to be the
$\mathbb {I}_{\boldsymbol {\phi }}$
-submodule of
$S^{o}(N,\chi _{\boldsymbol {\phi }},\mathbb {I}_{\boldsymbol {\phi }})$
generated by
$\{\boldsymbol {\phi }(q^{d})\}$
as d ranges over the positive divisors of
$N/N_{\boldsymbol {\phi }}$
.
For the next result, set
$N:=\text {lcm}(N_{\boldsymbol {f}},N_{\boldsymbol {g}},N_{\boldsymbol {h}})$
and consider the following hypothesis:
$$\begin{align*}\mbox{for some }(x,y,z)\in\mathfrak{X}_{\mathcal{R}}^{\boldsymbol{f}}\mbox{, we have }\varepsilon_{q}({\boldsymbol{f}}_{x}^{\circ},{\boldsymbol{g}}_{y}^{\circ},{\boldsymbol{h}}_{z}^{\circ})=+1\mbox{ for all }q\vert N\textrm{,} \end{align*}$$
where
$\varepsilon _{q}({\boldsymbol {f}}_{x}^{\circ },{\boldsymbol {g}}_{y}^{\circ },{\boldsymbol {h}}_{z}^{\circ })$
is the local root number at q of the Kummer self-dual twist of the tensor product of the p-adic Galois representations attached to the newforms
${\boldsymbol {f}}_{x}^{\circ }$
,
${\boldsymbol {g}}_{y}^{\circ }$
and
${\boldsymbol {h}}_{z}^{\circ }$
corresponding to
${\boldsymbol {f}}_{x}$
,
${\boldsymbol {g}}_{y}$
and
${\boldsymbol {h}}_{z}$
. We shall say that a point
$(x,y,z)\in \mathfrak {X}_{\mathcal {R}}^{{\boldsymbol {f}}}$
is crystalline if the conductors of
${\boldsymbol {f}}_{x}^{\circ }$
,
${\boldsymbol {g}}_{y}^{\circ }$
and
${\boldsymbol {h}}_{z}^{\circ }$
are all prime-to-p.
Theorem 2.1. Assume that
${\boldsymbol {f}}$
satisfies hypothesis (CR) and that, in addition to hypothesis
$(\Sigma ^{-}=\emptyset )$
, the triple
$({\boldsymbol {f}},{\boldsymbol {g}},{\boldsymbol {h}})$
satisfies
-
(ev)
$\chi _{{\boldsymbol {f}}}\chi _{{\boldsymbol {g}}}\chi _{{\boldsymbol {h}}}=\omega ^{2a}$
for some
$a\in \mathbf {Z}$
, -
(sq)
$\mathrm{gcd}(N_{\boldsymbol {f}},N_{\boldsymbol {g}},N_{\boldsymbol {h}})$
is squarefree.
Fix a generator
$\eta _{{\boldsymbol {f}}}$
of the congruence module of
${\boldsymbol {f}}$
. Then there exist
$\Lambda $
-adic test vectors
$(\underline {\breve {{\boldsymbol {f}}}},\underline {\breve {{\boldsymbol {g}}}},\underline {\breve {{\boldsymbol {h}}}})$
and an element
$\mathscr {L}_{p}^{f}(\underline {\breve {{\boldsymbol {f}}}},\underline {\breve {{\boldsymbol {g}}}},\underline {\breve {{\boldsymbol {h}}}})\in \mathcal {R}$
such that for all crystalline
$(x,y,z)\in \mathfrak {X}_{\mathcal {R}}^{\boldsymbol {f}}$
of weight
$(k,\ell ,m)$
, we have
$$ \begin{align*} \mathscr{L}_{p}^{f}(\underline{\breve{{\boldsymbol{f}}}},\underline{\breve{{\boldsymbol{g}}}},\underline{\breve{{\boldsymbol{h}}}})(x,y,z)^{2}=\Gamma(k,\ell,m)\cdot\mathcal{E}_{p}({\boldsymbol{f}}_{x},{\boldsymbol{g}}_{y},{\boldsymbol{h}}_{z})^{2}\cdot\prod_{q\mid N}\tau_{q}^{2}\cdot\frac{L({\boldsymbol{f}}_{x}^{\circ}\otimes {\boldsymbol{g}}_{y}^{\circ}\otimes {\boldsymbol{h}}_{z}^{\circ},c)}{(\sqrt{-1})^{2k}\cdot\Omega_{{\boldsymbol{f}}_{x}}^{2}}, \end{align*} $$
where
-
•
$c=(k+\ell +m-2)/2$
, -
•
$\Gamma (k,\ell ,m)=(c-1)!\cdot (c-m)!\cdot (c-\ell )!\cdot (c+1-\ell -m)!\cdot 2^4 (2\pi)^{-2k}$
, -
•
$\mathcal {E}_{p}({\boldsymbol {f}}_{x},{\boldsymbol {g}}_{y},{\boldsymbol {h}}_{z})=(1-\frac {\beta _{{\boldsymbol {f}}_{x}}\alpha _{{\boldsymbol {g}}_{y}}\alpha _{{\boldsymbol {h}}_{z}}}{p^{c}})(1-\frac {\beta _{{\boldsymbol {f}}_{x}}\beta _{{\boldsymbol {g}}_{y}}\alpha _{{\boldsymbol {h}}_{z}}}{p^{c}})(1-\frac {\beta _{{\boldsymbol {f}}_{x}}\alpha _{{\boldsymbol {g}}_{y}}\beta _{{\boldsymbol {h}}_{z}}}{p^{c}})(1-\frac {\beta _{{\boldsymbol {f}}_{x}}\beta _{{\boldsymbol {g}}_{y}}\beta _{{\boldsymbol {h}}_{z}}}{p^{c}})$
, -
•
$\tau _{q}$
is a nonzero constant (equal to either
$1$
or
$1+q^{-1}$
), -
•
$\Omega _{{\boldsymbol {f}}_{x}}\in \mathbf {C}^{\times }$
is the canonical period in [Reference Hsieh28, Def. 3.12] computed with respect to
$\eta _{{\boldsymbol {f}}}$
,
and
$L({\boldsymbol {f}}_{x}^{\circ }\otimes {\boldsymbol {g}}_{y}^{\circ }\otimes {\boldsymbol {h}}_{z}^{\circ },c)$
is the central value of the triple product L-function.
Proof. This is a special case of Theorem A in [Reference Hsieh28]. The construction of
$\mathscr {L}_{p}^{f}(\underline {\breve {{\boldsymbol {f}}}},\underline {\breve {{\boldsymbol {g}}}},\underline {\breve {{\boldsymbol {h}}}})$
under hypotheses (CR), (ev) and (sq) is given in [Reference Hsieh28, §3.6]; the proof of its interpolation property (for all points
$(x,y,z)\in \mathfrak {X}_{\mathcal {R}}^{\boldsymbol {f}}$
, rather than just those that are crystalline) assuming hypothesis (
$\Sigma ^{-}=\emptyset $
) is given in [Reference Hsieh28, §7].
Remark 2.2. The construction of
$\mathscr {L}_{p}^{f}(\underline {\breve {{\boldsymbol {f}}}},\underline {\breve {{\boldsymbol {g}}}},\underline {\breve {{\boldsymbol {h}}}})$
is based on Hida’s p-adic Rankin–Selberg convolution [Reference Hida23] and applies to any choice of test vectors for
$({\boldsymbol {f}},{\boldsymbol {g}},{\boldsymbol {h}})$
. In the following, for any test vectors
$({\breve {{\boldsymbol {f}}}},{\breve {{\boldsymbol {g}}}},{\breve {{\boldsymbol {h}}}})$
we use
$\mathscr {L}_{p}^{f}({\breve {{\boldsymbol {f}}}},{\breve {{\boldsymbol {g}}}},{\breve {{\boldsymbol {h}}}})$
to denote the associated triple product p-adic L-function (but note that in the proof of our main results the specific choice
$(\underline {\breve {{\boldsymbol {f}}}},\underline {\breve {{\boldsymbol {g}}}},\underline {\breve {{\boldsymbol {h}}}})$
will be critical).
2.3 Triple tensor product of big Galois representations
Let
$({\boldsymbol {f}},{\boldsymbol {g}},{\boldsymbol {h}})$
be a triple of primitive Hida families with
$\chi _{{\boldsymbol {f}}}\chi _{{\boldsymbol {g}}}\chi _{{\boldsymbol {h}}}=\omega ^{2a}$
for some
$a\in \mathbf {Z}$
. For
$\boldsymbol {\phi }\in \{{\boldsymbol {f}},{\boldsymbol {g}},{\boldsymbol {h}}\}$
, let
$V_{\boldsymbol {\phi }}$
be the natural lattice in
$(\text {Frac}\;\mathbb {I}_{\boldsymbol {\phi }})^{2}$
realising the Galois representation
$\rho _{\boldsymbol {\phi }}$
in the étale cohomology of modular curves (see [Reference Ohta34]) and set
This has rank
$8$
over
$\mathcal {R}$
, and by hypothesis its determinant can be written as
$\det \mathbb {V}_{{\boldsymbol {f}}{\boldsymbol {g}}{\boldsymbol {h}}}=\mathcal {X}^{2}\varepsilon _{\text {cyc}}$
for a p-ramified Galois character
$\mathcal {X}$
taking the value
$(-1)^{a}$
at complex conjugation. Similar to [Reference Howard27, Def. 2.1.3], we define the critical twist
$$ \begin{align*} \mathbb{V}_{{\boldsymbol{f}}{\boldsymbol{g}}{\boldsymbol{h}}}^{\dagger}:=\mathbb{V}_{{\boldsymbol{f}}{\boldsymbol{g}}{\boldsymbol{h}}}\otimes\mathcal{X}^{-1}.\nonumber \end{align*} $$
More generally, for any multiple N of
$N_{\boldsymbol {\phi }}$
, one can define Galois modules
$V_{\boldsymbol {\phi }}(N)$
by working in tame level N; these split noncanonically into a finite direct sum of the
$\mathbb {I}_{\boldsymbol {\phi }}$
-adic representations
$V_{\boldsymbol {\phi }}$
(see [Reference Darmon and Rotger18, §1.5.3]), and they define
$\mathbb {V}_{{\boldsymbol {f}}{\boldsymbol {g}}{\boldsymbol {h}}}^{\dagger }(N)$
for any N divisible by
$\text {lcm}(N_{{\boldsymbol {f}}},N_{{\boldsymbol {g}}},N_{{\boldsymbol {h}}})$
.
If f is a classical specialisation of
${\boldsymbol {f}}$
with associated p-adic Galois representation
$V_{f}$
, we let
$\mathbb {V}_{f,{\boldsymbol {g}}{\boldsymbol {h}}}$
be the quotient of
$\mathbb {V}_{{\boldsymbol {f}}{\boldsymbol {g}}{\boldsymbol {h}}}$
given by
and denote by
$\mathbb {V}^{\dagger }_{f,{{\boldsymbol {g}}{\boldsymbol {h}}}}$
the corresponding quotient of
$\mathbb {V}^{\dagger }_{{\boldsymbol {f}}{\boldsymbol {g}}{\boldsymbol {h}}}$
and by
$\mathbb {V}^{\dagger }_{f,{{\boldsymbol {g}}{\boldsymbol {h}}}}(N)$
its level N counterpart.
2.4 Theta elements and factorisation
We recall the factorisation proven in [Reference Hsieh28, §8]. Let
$f\in S_{2}(pN_{f})$
be a p-stabilised newform of tame level
$N_{f}$
defined over
$\mathcal O$
, let
$f^{\circ }\in S_{2}(N_{f})$
be the associated newform and let
$\alpha _{p}=\alpha _{p}(f)\in \mathcal O^{\times }$
be the
$U_{p}$
-eigenvalue of f. Let K be an imaginary quadratic field of discriminant
$D_{K}$
prime to
$N_{f}$
. Write
with
$N^{+}$
(respectively
$N^{-}$
) divisible only by primes which are split (respectively inert) in K and choose an ideal
$\mathfrak {N}^{+}\subset \mathcal O_{K}$
with
$\mathcal O_{K}/\mathfrak {N}^{+}\simeq \mathbf {Z}/N^{+}\mathbf {Z}$
.
Assume that
$(p)=\mathfrak {p}\overline {\mathfrak {p}}$
splits in K, with our fixed embedding
$\iota _{p}:\overline {\mathbf {Q}}\hookrightarrow \mathbf {C}_{p}$
inducing the prime
$\mathfrak {p}$
. Let
$\Gamma _{\infty }$
be the Galois group of the anticyclotomic
$\mathbf {Z}_{p}$
-extension
$K_{\infty }/K$
and fix a topological generator
${\boldsymbol \gamma }\in \Gamma _{\infty }$
and identity
with the power series ring
via
${\boldsymbol \gamma }\mapsto 1+T$
. For any prime-to-p ideal
$\mathfrak a$
of K, let
$\sigma _{\mathfrak a}$
be the image of
$\mathfrak a$
in the Galois group of the ray class field
$K(p^{\infty })/K$
of conductor
$p^{\infty }$
under the geometrically normalised reciprocity law map.
Theorem 2.3. Let
$\chi $
be a ring class character of K of conductor
$c\mathcal O_{K}$
with values in
$\mathcal O$
and assume that
-
(i)
$(pN_{f},cD_{K})=1$
, -
(ii)
$N^{-}$
is the squarefree product of an odd number of primes, -
(iii) if
$q\vert N^{-}$
is a prime with
$q\equiv 1\pmod {p}$
, then
$\bar {\rho }_{f}$
is ramified at q.
Then there exists a unique
such that for every p-power root of unity
$\zeta $
,
$$ \begin{align*} \Theta^{}_{f/K,\chi}(\zeta-1)^{2}=\frac{p^{n}}{\alpha_{p}^{2n}}\cdot\mathcal{E}_{p}(f,\chi,\zeta)^{2}\cdot\frac{L(f^{\circ}/K\otimes\chi\epsilon_{\zeta},1)}{(2\pi)^{2}\cdot \Omega_{f^{\circ},N^{-}}}\cdot u_{K}^{2}\sqrt{D_{K}}\chi\epsilon_{\zeta}(\sigma_{\mathfrak{N}^{+}})\cdot\varepsilon_{p},\\[-15pt] \end{align*} $$
where
-
•
$n\geqslant 0$
is such that
$\zeta $
has exact order
$p^{n}$
, -
•
$\epsilon _{\zeta }:\Gamma _{\infty }\rightarrow \mu _{p^{\infty }}$
be the character defined by
$\epsilon _{\zeta }({\boldsymbol \gamma })=\zeta $
, -
•
$\mathcal {E}_{p}(f,\chi ,\zeta )= \begin {cases} (1-\alpha _{p}^{-1}\chi (\mathfrak {p}))(1-\alpha _{p}\chi (\overline {\mathfrak {p}}))& \mbox {if }n=0\textrm {,}\\ 1&\mbox {if }n>0\textrm {,} \end {cases}$
-
•
$\Omega _{f^{\circ },N^{-}}=4\Vert f^{\circ }\Vert _{\Gamma _{0}(N_{f})}^{2}\cdot \eta _{f,N^{-}}^{-1}$
is the Gross period of
$f^{\circ }$
(see [Reference Hsieh28, p. 524]), -
•
$\sigma _{\mathfrak {N}^{+}}\in \Gamma _{\infty }$
is the image of
$\mathfrak {N}^{+}$
under the geometrically normalised Artin’s reciprocity map, -
•
$u_{K}=\vert \mathcal O_{K}^{\times }\vert /2$
and
$\varepsilon _{p}\in \{\pm 1\}$
is the local root number of
$f^{\circ }$
at p.
Proof. See [Reference Bertolini and Darmon4] for the first construction and [Reference Chida and Hsieh13, Thm. A] for the stated interpolation property.
Remark 2.4. From the interpolation property of Theorem 2.3, one can show that the square of
$\Theta _{f/K,\chi }(T)$
is essentially the anticyclomic restriction of the two-variable p-adic L-function constructed by Perrin-Riou [Reference Perrin-Riou35].
When
$\chi $
is the trivial character, we write
$\Theta _{f/K,\chi }(T)$
simply as
$\Theta _{f/K}(T)$
. Suppose now that the p-stabilised newform f as in Theorem 2.3 is the specialisation of a primitive Hida family
${\boldsymbol {f}}\in S^{o}(N_{f},\mathbb {I})$
with branch character
at an arithmetic point
$x_{1}\in \mathfrak {X}_{\mathbb {I}}^{+}$
of weight
$2$
. Let
$\ell \nmid pN_{f}$
be a prime split in K and let
$\chi $
be a ring class character of K of conductor
$\ell ^{m}\mathcal O_{K}$
for some
$m>0$
. Denoting by the superscript
$\tau $
the action of the nontrivial automorphism of
$K/\mathbf {Q}$
, write
$\chi =\psi ^{1-\tau }$
with
$\psi $
a ray class character modulo
$\ell ^{m}\mathcal O_{K}$
. Set
$C=D_{K}\ell ^{2m}$
and let
be the primitive CM Hida families of level C constructed in [Reference Hsieh28, §8.3].
The p-adic L-function
$\mathscr {L}_{p}^{f}(\underline {\breve {{\boldsymbol {f}}}},\underline {\breve {{\boldsymbol {g}}}},\underline {\breve {{\boldsymbol {g}}}}^{*})$
of Theorem 2.1 attached to the triple
$({\boldsymbol {f}},{\boldsymbol {g}},{\boldsymbol {g}}^{*})$
(taking
$a=-1$
in (ev)) is an element in
; in the following, we let

denote the restriction to the ‘line’
$S=S_{2}=S_{3}$
of the image of
$\mathscr {L}_{p}^{f}(\underline {\breve {{\boldsymbol {f}}}},\underline {\breve {{\boldsymbol {g}}}},\underline {\breve {{\boldsymbol {g}}}}^{*})$
under the specialisation map at
$x_{1}$
.
Let
$\mathbb {K}_{\infty }$
be the
$\mathbf {Z}_{p}^{2}$
-extension of K and let
$K_{\mathfrak {p}^{\infty }}$
denote the
$\mathfrak {p}$
-ramified
$\mathbf {Z}_{p}$
-extension in
$\mathbb {K}_{\infty }$
, with Galois group
$\Gamma _{\mathfrak {p}^{\infty }}=\text {Gal}(K_{\mathfrak {p}^{\infty }}/K)$
. Let
$\gamma _{\mathfrak {p}}\in \Gamma _{\mathfrak {p}^{\infty }}$
be a topological generator and for the formal variable T let
be the universal character defined by
$$ \begin{align} \Psi_{T}(\sigma)=(1+T)^{l(\sigma)},\quad\mbox{where }\sigma\vert_{K_{\mathfrak{p}^{\infty}}}=\gamma_{\mathfrak{p}}^{l(\sigma)}.\\[-15pt]\nonumber \end{align} $$
The character
$\Psi _{T}^{1-\tau }$
factors through
$\Gamma _{\infty }$
and yields an identification
corresponding to the topological generator
$\gamma _{\mathfrak {p}}^{1-\tau }\in \Gamma _{\infty }$
. Let
$p^{b}$
be the order of the p-part of the class number of K. Hereafter, we shall fix
$\mathbf v\in \overline {\mathbf {Z}}_{p}^{\times }$
such that
$\mathbf v^{p^{b}}=\varepsilon _{\text {cyc}}(\gamma _{\mathfrak p}^{p^{b}})\in 1+p\mathbf {Z}_{p}$
. Let
$K(\chi ,\alpha _{p})/K$
(respectively
$K(\chi )/K$
) be the finite extension obtained by adjoining to K the values of
$\chi $
and
$\alpha _{p}$
(respectively the values of
$\chi $
).
Proposition 2.5. Assume that
-
(i)
$N^{-}$
is the squarefree product of an odd number of primes, -
(ii)
$\bar {\rho }_{f}$
is ramified at every prime
$q\vert N^{-}$
with
$q\equiv 1\pmod {p}$
.
Set
$T=\mathbf {v}^{-1}(1+S)-1$
. Then
$$ \begin{align*} \mathscr{L}_{p}^{f}(\underline{\breve{f}},\underline{\breve{{\boldsymbol{g}}}}\underline{\breve{{\boldsymbol{g}}}}^{*})= \pm\mathbf{w}^{-1}\cdot\Theta_{f/K}(T)\cdot C_{f,\chi}\cdot \sqrt{L^{\mathrm{alg}}(f/K\otimes\chi,1)}\cdot\frac{\eta_{f^{\circ}}}{\eta_{f^{\circ},N^{-}}}, \end{align*} $$
where
$\mathbf {w}$
is a unit in
,
$C_{f,\chi }\in K(\chi ,\alpha _{p})^{\times }$
and
$$ \begin{align*} L^{\mathrm{alg}}(f/K\otimes\chi,1):=\frac{L(f/K\otimes\chi,1)}{4\pi^{2}\lVert f^{\circ}\rVert_{\Gamma_{0}(N_{f})}^{2}}\in K(\chi). \end{align*} $$
Proof. This is [Reference Hsieh28, Prop. 8.1] specialised to
$S=S_{2}=S_{3}$
, using the interpolation property of
$\Theta _{f/K,\chi }(T)$
at
$\zeta =1$
. (Note that the unit
$\mathbf {w}$
is explicitly described in [Reference Hsieh28, Prop. 8.1], but we omit it here.)
Remark 2.6. The factorisation of Proposition 2.5 reflects the decomposition of Galois representations
$$ \begin{align} \mathbb{V}_{f,{\boldsymbol{g}}{\boldsymbol{g}}^{*}}^{\dagger}=\big(V_{f}(1)\otimes\textrm{Ind}_{K}^{\mathbf{Q}}\Psi_{T}^{1-\tau}\big)\oplus \big(V_{f}(1)\otimes\textrm{Ind}_{K}^{\mathbf{Q}}\chi\big). \end{align} $$
Note that the first summand in (2.4) is the anticyclotomic deformation of
$V_{f}(1)$
, while the second is a fixed character twist of
$V_{f}(1)$
.
3 Coleman map for relative Lubin–Tate groups
In this section we review Perrin-Riou’s theory [Reference Perrin-Riou36] of big exponential maps, as extended by Kobayashi [Reference Kobayashi30] to
$\mathbf {Z}_{p}$
-extensions arising from torsion points on relative Lubin–Tate formal groups of height 1. Applied to the localisation of the anticyclotomic
$\mathbf {Z}_{p}$
-extension of an imaginary quadratic field K in which p splits, we then deduce, by the results of Section 2 and [Reference Darmon and Rotger18], a Coleman power series construction of the p-adic L-function
$\Theta _{f/K}$
of Theorem 2.3. This new construction of
$\Theta _{f/K}$
will play an important role in the proof of our main results.
3.1 Preliminaries
Fix a complete algebraic closure
$\mathbf {C}_{p}$
of
${\mathbf {Q}}_{p}$
. Let
${\mathbf {Q}}_{p}^{\text {ur}}\subset \mathbf {C}_{p}$
be the maximal unramified extension of
${\mathbf {Q}}_{p}$
and let
$\mathrm {Fr}\in \operatorname {\mathrm {Gal}}({\mathbf {Q}}_{p}^{\text {ur}}/{\mathbf {Q}}_{p})$
be the absolute Frobenius. Let
$F\subset {\mathbf {Q}}_{p}^{\text {ur}}$
be a finite unramified extension of
${\mathbf {Q}}_{p}$
with valuation ring
$\mathscr {O}$
and set
Let
${\mathcal F}=\operatorname {\mathrm {Spf}} R$
be a relative Lubin–Tate formal group of height 1 defined over
$\mathscr O$
, and for each
$n\in \mathbf {Z}$
set
$$ \begin{align*} {\mathcal F}^{(n)}:={\mathcal F}\times_{\mathrm{Spec}\,\mathscr O,\mathrm{Fr}^{-n}}\mathrm{Spec}\,\mathscr O. \end{align*} $$
The Frobenius morphism
$\varphi _{\mathcal F}\in \operatorname {\mathrm {Hom}}({\mathcal F},{\mathcal F}^{(-1)})$
induces a homomorphism
$\varphi _{\mathcal F}\colon R\to R$
defined by
where
$f^{\mathrm {Fr}}$
is the conjugate of f by
$\mathrm {Fr}$
. Let
$\psi _{\mathcal F}$
be the left inverse of
$\varphi _{\mathcal F}$
satisfying
$$ \begin{align} \varphi_{\mathcal F}\circ\psi_{\mathcal F} (f)=p^{-1}\sum_{x\in {\mathcal F}[p]}f(X\oplus_{\mathcal F} x). \end{align} $$
Let
$F_{\infty }/F$
be the Lubin–Tate
$\mathbf {Z}_{p}^{\times }$
-extension of F associated with
${\mathcal F}$
– that is,
$F_{\infty }=\bigcup _{n=1}^{\infty } F({\mathcal F}[p^{n}])$
– and for every
$n\geqslant -1$
let
$F_{n}$
be the subfield of
$F_{\infty }$
with
$\operatorname {\mathrm {Gal}}(F_{n}/F)\simeq (\mathbf {Z}/p^{n+1}\mathbf {Z})^{\times }$
. (Hence,
$F_{-1}=F$
.) Letting
$G_{\infty }=\operatorname {\mathrm {Gal}}(F_{\infty }/F)$
, there is a canonical decomposition
with
$\Delta $
the torsion subgroup of
$G_{\infty }$
and
$\Gamma ^{\mathcal F}_{\infty }\simeq \mathbf {Z}_{p}$
the maximal torsion-free quotient of
$G_{\infty }$
.
For every
$a\in \mathbf {Z}_{p}^{\times }$
, there is a unique formal power series
$[a]\in R$
such that
Letting
$\varepsilon _{\mathcal F}\colon G_{\infty }\stackrel {\sim }{\to }\mathbf {Z}_{p}^{\times }$
be the Lubin–Tate character, we let
$\sigma \in G_{\infty }$
act on
$f\in R$
by
thus making R into an
-module.
Lemma 3.1.
$R^{\psi _{\mathcal F}=0}$
is free of rank 1 over
.
Proof. This is [Reference Kobayashi30, Prop. 5.4].
Let V be a crystalline
$G_{{\mathbf {Q}}_{p}}$
-representation defined over a finite extension L of
${\mathbf {Q}}_{p}$
with ring of integers
$\mathcal O_{L}$
. Let
${\mathbf D}(V)={\mathbf D}_{\text {cris},{\mathbf {Q}}_{p}}(V)$
be the filtered
$\varphi $
-module associated with V and set
$$ \begin{align*}{\mathscr D}_{\infty}(V):={\mathbf D}(V)\otimes_{\mathbf{Z}_{p}}R^{\psi_{\mathcal F}=0}.\\[-15pt] \end{align*} $$
Fix an invariant differential
$\omega _{\mathcal F}\in \Omega _{R}$
and let
$\log _{\mathcal F}\in R\widehat \otimes {\mathbf {Q}}_{p}$
be the logarithm map satisfying
where
$d:R\to \Omega _{R}$
is the standard derivation.
Let
$\epsilon =(\epsilon _{n})\in T_{p}{\mathcal F}=\varprojlim {\mathcal F}^{(n)}[p^{n}]$
be a basis of the Tate module of
${\mathcal F}$
, where the limit is with respect to the transition maps
$$ \begin{align*} \varphi^{\mathrm{Fr}^{-(n+1)}}\colon {\mathcal F}^{(n+1)}[p^{n+1}]\to {\mathcal F}^{(n)}[p^{n}].\\[-15pt]\end{align*} $$
One can associate to
$\epsilon $
and
$\omega _{\mathcal F}$
a p-adic period
$t_{\epsilon }\in B_{\text {cris}}^{+}$
such that
$$ \begin{align}{\mathbf D}_{\textrm{cris},F}(\varepsilon_{\mathcal F})=Ft_{\epsilon}^{-1} \quad\textrm{and}\quad\varphi t_{\epsilon}=\varpi t_{\epsilon},\\[-15pt]\nonumber\end{align} $$
where
$\varpi $
is the uniformiser in F such that
$\varphi _{\mathcal F}^{*}(\omega _{\mathcal F}^{\mathrm {Fr}})=\varpi \cdot \omega _{\mathcal F}$
(see [Reference Kobayashi30, §9.2]). For
$j\in \mathbf {Z}$
, the Lubin–Tate twist
$V\langle j\rangle :=V\otimes _{L}\varepsilon _{\mathcal F}^{j}$
then satisfies
$$ \begin{align*} {\mathbf D}_{\textrm{cris},F}(V\langle j\rangle)={\mathbf D}(V)\otimes_{{\mathbf{Q}}_{p}} Ft_{\epsilon}^{-j}.\\[-15pt] \end{align*} $$
There is a derivation
$\text {d}_{\epsilon }:{\mathscr D}_{\infty }(V\langle j\rangle )={\mathbf D}_{\text {cris},F}(V\langle j\rangle )\otimes _{\mathscr O}R^{\psi _{{\mathcal F}}=0}\to {\mathscr D}_{\infty }(V\langle j-1\rangle )$
given by
where
$\partial \colon R\to R$
is defined by
$df=\partial f\cdot \omega _{\mathcal F}$
. These give rise to the map
$$ \begin{align} \widetilde{\Delta}\colon{\mathscr D}_{\infty}(V)\to \bigoplus_{j\in\mathbf{Z}}\frac{{\mathbf D}_{\textrm{cris},F}(V\langle -j\rangle)}{1-\varphi} \end{align} $$
sending
$f\mapsto (\partial ^{j}f(0)t_{\epsilon }^{j}\pmod {1-\varphi })_{j}$
.
3.2 Perrin-Riou’s big exponential map
For a finite extension K over
${\mathbf {Q}}_{p}$
, let
$$ \begin{align*}\exp_{K,V}\colon {\mathbf D}(V)\otimes_{{\mathbf{Q}}_{p}} K\to \textrm{H}^{1}(K,V)\end{align*} $$
be Bloch–Kato’s exponential map [Reference Bloch and Kato7, §3]. In this subsection, we recall the main properties of Perrin-Riou’s map
$\Omega _{V,h}$
interpolating
$\exp _{K,V\langle j\rangle }$
over nonnegative
$j\in \mathbf {Z}$
.
Let
$V^{*}:=\operatorname {\mathrm {Hom}}_{L}(V,L(1))$
be the Kummer dual of V and denote by
the K-linear extension of the de Rham pairing
Let
$\exp ^{*}_{K,V}:\text {H}^{1}(K,V)\to {\mathbf D}(V)\otimes K$
be the Bloch–Kato dual exponential map, which is characterised uniquely by
for all
$x\in {\mathbf D}(V^{*})\otimes K$
and
$y\in \text {H}^{1}(K,V)$
.
Choose a
$\mathcal O_{L}$
-lattice
$T\subset V$
stable under the Galois action and set
$\widehat {\text {H}}^{1}(F_{\infty },T)=\varprojlim _{n} \text {H}^{1}(F_{n},T)$
and
$$ \begin{align*} \widehat{\textrm{H}}^{1}(F_{\infty},V)=\widehat{\textrm{H}}^{1}(F_{\infty},T)\otimes_{\mathbf{Z}_{p}}{\mathbf{Q}}_{p}, \end{align*} $$
which does not depend on the choice of T. Denote by
$$ \begin{align*} \textrm{Tw}^{j}:\widehat{\textrm{H}}^{1}(F_{\infty},V)\simeq \widehat{\textrm{H}}^{1}(F_{\infty},V\langle j\rangle) \end{align*} $$
the twisting map by
$\varepsilon _{\mathcal F}^{j}$
. For a nonnegative real number r, put

where
$\left \vert \cdot \right \vert {}_{p}$
is the normalised valuation of K with
$\left \vert p\right \vert {}_{p}=p^{-1}$
. Let
${\boldsymbol \gamma }$
be a topological generator of
$\Gamma ^{\mathcal F}_{\infty }$
and denote by
${\mathscr H}_{r,K}(G_{\infty })$
the ring of elements
$\{f({\boldsymbol \gamma }-1)\colon f\in {\mathscr H}_{r,K}(X)\}$
, so, in particular,
. Put
$$ \begin{align*}{\mathscr H}_{\infty,K}(G_{\infty})=\bigcup_{r\geqslant 0}{\mathscr H}_{r,K}(G_{\infty}).\end{align*} $$
Define the map
by
$$ \begin{align} \Xi_{n,V}(G):=\begin{cases}p^{-(n+1)}\varphi^{-(n+1)}(G^{\mathrm{Fr}^{-(n+1)}}(\epsilon_{n}))&\text{ if }n\geqslant 0,\\[0.1cm] (1-p^{-1}\varphi^{-1})(G(0))&\text{ if }n=-1,\end{cases} \end{align} $$
and let
.
Theorem 3.2. Let
$\epsilon =(\epsilon _{n})$
be a basis of
$T_{p}\mathcal {F}$
, let
$h>0$
be such that
${\mathbf D}(V)=\operatorname {\mathrm {Fil}}^{-h}{\mathbf D}(V)$
and assume that
$\text {H}^{0}(F_{\infty },V)=0$
. There exists
$\widetilde \Lambda $
-linear ‘big exponential map’
$$ \begin{align*}\Omega^{\epsilon}_{V,h}: {\mathscr D}_{\infty}(V)^{\widetilde{\Delta}=0}\to \widehat{\textrm{H}}^{1}(F_{\infty},T)\otimes_{\widetilde\Lambda} {\mathscr H}_{\infty,F}(G_{\infty})\end{align*} $$
such that for every
$g\in {\mathscr D}_{\infty }(V)^{\widetilde {\Delta }=0}$
and
$j\geqslant 1-h$
satisfies the interpolation property
$$ \begin{align*} \textrm{pr}_{F_{n}}(\textrm{Tw}^{j}\circ\Omega^{\epsilon}_{V,h}(g))=(-1)^{h+j-1}(h+j-1)!\cdot \exp_{F_{n},V\langle j\rangle}(\Xi_{n,V\langle j\rangle}(\textrm{d}_{\epsilon}^{-j}G))\in \textrm{H}^{1}(F_{n},V\langle j\rangle), \end{align*} $$
where
$G\in {\mathbf D}(V)\otimes _{{\mathbf {Q}}_{p}} {\mathscr H}_{h,F}(X)$
is a solution of the equation
Moreover, these maps satisfy
$$ \begin{align*} \textrm{Tw}^{j}\circ\Omega^{\epsilon}_{V,h}\circ \textrm{d}_{\epsilon}^{j}=\Omega^{\epsilon}_{V\langle j\rangle,h+j}, \end{align*} $$
and if
$j\leqslant -h$
, then
$$ \begin{align*}\exp^{*}_{F_{n},V\langle j\rangle}(\textrm{pr}_{F_{n}}(\textrm{Tw}_{j}\circ\Omega^{\epsilon}_{V,h}(g)))=\frac{1}{(-h-j)!}\cdot \Xi_{n,V\langle j\rangle}(\textrm{d}_{\epsilon}^{-j}G))\in {\mathbf D}(V\langle j\rangle)\otimes_{{\mathbf{Q}}_{p}} F_{n},\end{align*} $$
and if
$D_{[s]}\subset {\mathbf D}(V)$
is a
$\varphi $
-invariant subspace in which all
$\varphi $
-eigenvalues have p-adic valuation at most s, then
$\Omega _{V,h}^{\epsilon }$
maps
$(D_{[s]}\otimes _{\mathbf {Z}_{p}} R^{\psi _{{\mathcal F}}=0})^{\widetilde \Delta =0}$
into
$\widehat {\text {H}}^{1}(F_{\infty },T)\otimes _{\widetilde \Lambda }{\mathscr H}_{s+h,F}(G_{\infty })$
.
Proof. For
${\mathcal F}=\widehat {\mathbf G}_{m}$
, the construction of
$\Omega _{V,h}^{\epsilon }$
and its interpolation property for
$j\geqslant 1-h$
are due to Perrin-Riou [Reference Perrin-Riou36]; the interpolation formula for
$j\leqslant -h$
is due to Colmez [Reference Colmez14]. The extension of these results to
$\mathbf {Z}_{p}$
-extensions arising from relative Lubin–Tate formal groups of height 1 is given in [Reference Kobayashi30, Appendix].
3.3 The Coleman map
From now on, we assume that
$$ \begin{align}{\mathscr D}_{\infty}(V)^{\widetilde\Delta=0}={\mathscr D}_{\infty}(V);\end{align} $$
that is,
$\widetilde \Delta =0$
(note that by (3.3), this is a condition on the
$\varphi $
-eigenvalues on
${\mathbf D}_{\text {cris},F}(V)$
), and for simplicity, for any field extension
$M/{\mathbf {Q}}_{p}$
we write
${\mathscr H}_{M}$
for
${\mathscr H}_{0,M}(G_{\infty })$
. Let
be the pairing defined by
for all
$\lambda _{1},\lambda _{2}\in {\mathscr H}_{F}$
.
Recall that
$F_{\infty }=\bigcup _{n}F_{n}$
, and let
$\langle -,-\rangle _{F_{n}}$
be the local Tate pairing
$\text {H}^{1}(F_{n},T^{*})\times \text {H}^{1}(F_{n},T)\rightarrow \mathcal {O}_{L}$
. Letting
$x=(x_{n})_{n}$
and
$y=(y_{n})_{n}$
be sequences in
$\widehat {\text {H}}^{1}(F_{\infty },T^{*})$
and
$\widehat {\text {H}}^{1}(F_{\infty },T)$
, define the
-linear pairing

by letting
$\langle x,y\rangle _{F_{\infty }}$
be the limit of the elements
$$ \begin{align*} \sum_{\sigma\in\textrm{Gal}(F_{n}/F)}\langle x_{n}^{\sigma^{-1}},y_{n}\rangle_{F_{n}}[\sigma]\in\mathcal O_{L}[\textrm{Gal}(F_{n}/F)], \end{align*} $$
which are compatible under the natural projection maps
$\mathcal O_{L}[\text {Gal}(F_{n+1}/F)]\rightarrow \mathcal O_{L}[\text {Gal}(F_{n}/F)]$
. After inverting p, this extends to a pairing
$$ \begin{align} \langle-,-\rangle_{F_{\infty}}:\widehat{\textrm{H}}^{1}(F_{\infty},V^{*})\times \widehat{\textrm{H}}^{1}(F_{\infty},V)\rightarrow L\otimes_{{\mathbf{Q}}_{p}}{\mathscr H}_{{\mathbf{Q}}_{p}}. \end{align} $$
Definition 3.3. Let
$\boldsymbol {e}\in R^{\psi _{\mathcal F}=0}$
be a
-module generator, and let
$\epsilon $
be a generator of
$T_{p}{\mathcal F}$
. The Coleman map
$$ \begin{align*} \textrm{Col}_{\boldsymbol{e}}^{\epsilon}\colon \widehat{\textrm{H}}^{1}(F_{\infty},V^{*})\to {\mathbf D}(V^{*})\otimes_{{\mathbf{Q}}_{p}} {\mathscr H}_{F} \end{align*} $$
is the
$L\otimes _{{\mathbf {Q}}_{p}}{\mathscr H}_{F}$
-linear map uniquely characterised by
$$ \begin{align}\operatorname{\mathrm{Tr}}_{F/{\mathbf{Q}}_{p}}(\left[ \textrm{Col}_{\boldsymbol{e}}^{\epsilon}({\mathbf z}), \eta\right]_{V})=\langle {\mathbf z}, \Omega^{\epsilon}_{V,h}(\eta\otimes\boldsymbol{e})\rangle_{F_{\infty}} \end{align} $$
for all
$\eta \in {\mathbf D}(V)$
.
Let
$\mathcal Q$
be the completion of
${\mathbf {Q}}_{p}^{\text {ur}}$
in
$\mathbf {C}_{p}$
, with ring of integers
${\mathcal W}$
, and set
$F_{n}^{\text {ur}}=F_{n}{\mathbf {Q}}_{p}^{\text {ur}}$
for
$-1\leqslant n\leqslant \infty $
(so
$F_{-1}^{\text {ur}}=F^{\text {ur}}$
). Let
$\sigma _{0}\in \operatorname {\mathrm {Gal}}(F_{\infty }^{\text {ur}}/{\mathbf {Q}}_{p})$
be such that
$\sigma _{0}|_{{\mathbf {Q}}_{p}^{\text {ur}}}=\mathrm {Fr}$
is the absolute Frobenius.
Fix an isomorphism
defined over
${\mathcal W}$
and let
be the map defined by
$\rho (f)=f\circ \rho ^{-1}$
, so
$$ \begin{align*}\varphi_{\mathcal F}\circ\rho=\rho^{\mathrm{Fr}}\circ\varphi_{\widehat{\mathbf G}_{m}}.\end{align*} $$
Fix also a
-generator
$\boldsymbol {e}\in R^{\psi _{\mathcal F}=0}$
and let
be such that
$\rho (1+X)=h_{\boldsymbol {e}}\cdot \boldsymbol {e}$
. Note that
$\boldsymbol {e}(0)\in \mathscr O^{\times }$
. Fix a sequence
$(\zeta _{p^{n}})$
of primitive
$p^{n}$
th root of unity giving a generator of
$T_{p}\widehat {\mathbf G}_{m}$
and let
$\epsilon =(\epsilon _{n})$
be the generator of
$T_{p}{\mathcal F}$
given by
$$ \begin{align*}\epsilon_{n}=\rho^{\mathrm{Fr}^{-(n+1)}}(\zeta_{p^{n+1}}-1)\in{\mathcal F}^{(n+1)}[p^{n+1}].\end{align*} $$
Let
$t\in B_{\text {cris}}^{+}$
be the p-adic period as in Subsection 3.1 associated to the generator
$(\zeta _{p^{n+1}}-1)\in T_{p}\widehat {\mathbf G}_{m}$
and the invariant differential
$\omega _{\widehat {\mathbf G}_{m}}=\frac {dX}{1+X}$
.
From now on, we suppose that
$\operatorname {\mathrm {Fil}}^{-1}{\mathbf D}(V)={\mathbf D}(V)$
and
$\text {H}^{0}(F_{\infty },V)=0$
, so the big exponential map
$\Omega _{V,1}^{\epsilon }$
of Theorem 3.2 is defined. Let
$\eta \in {\mathbf D}(V)$
be such that
$\varphi \eta =\alpha \eta $
and suppose that
$\eta $
has slope s (i.e.,
$\left \vert \alpha \right \vert {}_{p}=p^{-s}$
). For every
${\mathbf z}\in \widehat {\text {H}}^{1}(F_{\infty },V^{*})$
, we define
$$ \begin{align} \textrm{Col}^{\eta}({\mathbf z}):=\sum_{j=1}^{[F:{\mathbf{Q}}_{p}]}\left[ \textrm{Col}_{\boldsymbol{e}}^{\epsilon}({\mathbf z}^{\sigma_{0}^{-j}}), \eta\right]\cdot h_{\boldsymbol{e}}\cdot \sigma_{0}^{j}\in {\mathscr H}_{s+h,L\mathcal Q}(\widetilde G_{\infty}), \end{align} $$
where
$\widetilde G_{\infty }=\operatorname {\mathrm {Gal}}(F_{\infty }/{\mathbf {Q}}_{p})$
and
$\left [ -, -\right ]\colon {\mathbf D}(V^{*})\otimes {\mathscr H}_{\mathcal Q} \times {\mathbf D}(V)\otimes {\mathscr H}_{\mathcal Q}\to {\mathscr H}_{L\mathcal Q}$
is the image of
$\left [ -, -\right ]_{V}$
under the natural map
$L\otimes _{{\mathbf {Q}}_{p}} {\mathscr H}_{\mathcal Q}\to {\mathscr H}_{L\mathcal Q}$
. We put
$$ \begin{align*} {\mathbf z}_{-j,n}:=\textrm{pr}_{F_{n}}(\textrm{Tw}^{-j}({\mathbf z}))\in\textrm{H}^{1}(F_{n},V^{*}\langle -j\rangle)\end{align*} $$
and say that a finite-order character
$\chi $
of
$\widetilde G_{\infty }$
has conductor
$p^{n+1}$
if n is the smallest integer such that
$\chi $
factors through
$\operatorname {\mathrm {Gal}}(F_{n}/{\mathbf {Q}}_{p})$
.
Theorem 3.4. Let
${\mathbf z}\in \widehat {\text {H}}^{1}(F_{\infty },V^{*})$
and let
$\psi $
be a p-adic character of
$\widetilde G_{\infty }$
such that
$\psi =\chi \varepsilon _{\mathcal F}^{j}$
with
$\chi $
a finite-order character of conductor
$p^{n+1}$
. If
$j<0$
, then
$$ \begin{align*} &\mathrm{Col}^{\eta}({\mathbf z})(\psi)=\frac{(-1)^{j-1}}{(-j-1)!}\\ &\times\begin{cases} \left[ \log_{F,V^{*}\langle -j\rangle}({\mathbf z}_{-j,n})\otimes t^{-j}, (1-p^{j-1}\varphi^{-1})(1-p^{-j}\varphi)^{-1}\eta\right]&\mathrm{ if\ }n=-1,\\[1 em] p^{(n+1){(j-1)}}\boldsymbol\tau(\psi)\sum\limits_{\tau\in\operatorname{\mathrm{Gal}}(F_{n}/{\mathbf{Q}}_{p})}\chi^{-1}(\tau)\left[ \log_{F_{n},V^{*}\langle -j\rangle}({\mathbf z}^{\tau}_{-j,n})\otimes t^{-j}, \varphi^{-(n+1)}\eta\right]&\mathrm{ if\ }n\geqslant 0. \end{cases} \end{align*} $$
If
$j\geqslant 0$
, then
$$ \begin{align*} &\mathrm{Col}^{\eta}({\mathbf z})(\psi)=j!(-1)^{j}\\ &\times\begin{cases} \left[ \exp^{*}_{F,V^{*}\langle -j\rangle}({\mathbf z}_{-j,n})\otimes t^{-j}, (1-p^{j-1}\varphi^{-1})(1-p^{-j}\varphi)^{-1}\eta\right]&\mathrm{ if\ }n=-1,\\[1 em] p^{(n+1){(j-1)}}\boldsymbol\tau(\psi)\sum\limits_{\tau\in\operatorname{\mathrm{Gal}}(F_{n}/{\mathbf{Q}}_{p})}\chi^{-1}(\tau)\left[ \exp^{*}_{F_{n},V^{*}\langle -j\rangle}({\mathbf z}^{\tau}_{-j,n})\otimes t^{-j}, \varphi^{-(n+1)}\eta\right]&\mathrm{ if\ }n\geqslant 0. \end{cases} \end{align*} $$
Here,
$\boldsymbol \tau (\psi )$
is the Gauss sum defined by
$$ \begin{align*}\boldsymbol\tau(\psi):=\sum_{\tau\in\operatorname{\mathrm{Gal}}(F^{\mathrm{ur}}_{n}/F^{\mathrm{ur}})}\psi\varepsilon_{\mathrm{cyc}}^{-j}(\tau\sigma_{0}^{n+1})\zeta_{p^{n+1}}^{\tau\sigma_{0}^{n+1}}.\end{align*} $$
Proof. This follows from Theorem 3.2 by a direct computation (see [Reference Kobayashi30, Thm. 5.10] and [Reference Loeffler and Zerbes32, Thm. 4.15] for a related computation).
3.4 Diagonal cycles and theta elements
We now apply the local results of the preceding section to the global setting of Section 2. Assume that f,
${\boldsymbol {g}}=\boldsymbol {\theta }_{\psi }(S)$
and
${\boldsymbol {g}}^{*}=\boldsymbol {\theta }_{\psi ^{-1}}(S)$
are as in Subsection 2.4. Keeping the notations from Subsection 2.3, by [Reference Darmon and Rotger18, §1] (see also [Reference Darmon and Rotger19] and [Reference Bertolini, Seveso and Venerucci1]), there exists a class
$$ \begin{align} \kappa(f,{{\boldsymbol{g}}{\boldsymbol{g}}^{*}})\in\textrm{H}^{1}(\mathbf{Q},\mathbb{V}^{\dagger}_{f,{{\boldsymbol{g}}{\boldsymbol{g}}^{*}}}(N)) \end{align} $$
constructed from twisted diagonal cycles on the triple product of modular curves of tame level N.
Every triple of test vectors
$\breve {\boldsymbol {F}}=(\breve {f},\breve {{\boldsymbol {g}}},\breve {{\boldsymbol {g}}}^{*})$
defines a
$G_{\mathbf {Q}}$
-equivariant projection
$\mathbb {V}^{\dagger }_{f,{{\boldsymbol {g}}{\boldsymbol {g}}}^{*}}(N)\rightarrow \mathbb {V}^{\dagger }_{f,{{\boldsymbol {g}}{\boldsymbol {g}}}^{*}}$
and we put
$$ \begin{align} \kappa(\breve{f},{\breve{{\boldsymbol{g}}}\breve{{\boldsymbol{g}}}^{*}}):=\textrm{pr}_{\breve{\boldsymbol{F}}}(\kappa(f,{{\boldsymbol{g}}{\boldsymbol{g}}^{*}}))\in\textrm{H}^{1}(\mathbf{Q},\mathbb{V}^{\dagger}_{f,{{\boldsymbol{g}}{\boldsymbol{g}}^{*}}}), \end{align} $$
where
$\text {pr}_{\breve {\boldsymbol {F}}}:\text {H}^{1}(\mathbf {Q},\mathbb {V}^{\dagger }_{f,{{\boldsymbol {g}}{\boldsymbol {g}}^{*}}}(N))\to \text {H}^{1}(\mathbf {Q},\mathbb {V}^{\dagger }_{f,{{\boldsymbol {g}}{\boldsymbol {g}}^{*}}})$
is the induced map on cohomology.
Since
$\Psi _{T}^{1-\tau }$
gives the universal character of
$\text {Gal}(K_{\infty }/K)$
, by the
$G_{\mathbf {Q}}$
-isomorphism
$(2.4)$
and Shapiro’s lemma we have the identifications
$$ \begin{align}\begin{aligned} \textrm{H}^{1}(\mathbf{Q},\mathbb{V}_{f,{\boldsymbol{g}}{\boldsymbol{g}}^{*}}^{\dagger})&\simeq\textrm{H}^{1}(\mathbf{Q},V_{f}(1)\otimes\textrm{Ind}_{K}^{\mathbf{Q}}\Psi_{T}^{1-\tau})\oplus\textrm{H}^{1}(\mathbf{Q},V_{f}(1)\otimes\operatorname{\mathrm{Ind}}_{K}^{\mathbf{Q}}\chi)\\ &\simeq\widehat{\textrm{H}}^{1}(K_{\infty},V_{f}(1))\oplus\textrm{H}^{1}(K,V_{f}(1)\otimes\chi). \end{aligned} \end{align} $$
In the following, we write
according to this decomposition.
Let g and
$g^{*}$
be the weight
$1$
eigenform
$\theta _{\psi }$
and
$\theta _{\psi ^{-1}}$
, respectively, so that the specialisation of
$({\boldsymbol {g}},{\boldsymbol {g}}^{*})$
at
$T=0$
(or, equivalently,
$S=\mathbf v-1$
) is a p-stabilisation of the pair
$(g,g^{*})$
.
Lemma 3.5. Assume that
$L(f\otimes g\otimes g^{*},1)=0$
and that
$L(f/K\otimes \chi ,1)\neq 0$
. Then for every choice of test vectors
$\breve {\boldsymbol {F}}=(\breve {f},\breve {{\boldsymbol {g}}},\breve {{\boldsymbol {g}}^{*}})$
, we have
$\kappa _{0}(\breve {f},{\breve {{\boldsymbol {g}}}\breve {{\boldsymbol {g}}^{*}}})=0$
.
Proof. Let
${\boldsymbol \kappa }=\kappa (\breve {f},\breve {{\boldsymbol {g}}}\breve {{\boldsymbol {g}}}^{*})$
and for every
$?\in \left \{f,{\boldsymbol {g}},{\boldsymbol {g}}^{*}\right \}$
, let
$\mathscr {F}^{+}V_?$
be the rank 1 subspace of
$V_?$
fixed by the inertia group at p. By (3.12), in order to prove the result, it suffices to show that some specialisation of
$\bf \kappa $
has trivial image in
$\text {H}^{1}(K,V_{f}(1)\otimes \chi )$
. Let
$$ \begin{align*} \kappa_{\breve{f},\breve{g}\breve{g}^{*}}:={\boldsymbol \kappa}\vert_{S=\mathbf{v}-1}\in\textrm{H}^{1}(\mathbf{Q},V_{fgg^{*}})=\textrm{H}^{1}(K,V_{f}(1))\oplus\textrm{H}^{1}(K,V_{f}(1)\otimes\chi), \end{align*} $$
where
$V_{fgg^{*}}:=V_{f}(1)\otimes V_{g}\otimes V_{g^{*}}$
. By looking at the Hodge–Tate weights, we see that the Bloch–Kato Selmer group
$\text {Sel}(\mathbf {Q},V_{fgg^{*}})\subset \text {H}^{1}(\mathbf {Q},V_{fgg^{*}})$
is given by
$$ \begin{align*} \textrm{Sel}(\mathbf{Q},V_{fgg^{*}})=\textrm{ker}\bigg( \textrm{H}^{1}(\mathbf{Q},V_{fgg^{*}})\overset{\partial_{p}\circ\textrm{loc}_{p}}\rightarrow \textrm{H}^{1}({\mathbf{Q}}_{p},\mathscr{F}^{-}V_{f}(1)\otimes V_{g}\otimes V_{g^{*}})\bigg), \end{align*} $$
where
$\partial _{p}$
is the natural map induced by the projection
$V_{f}\twoheadrightarrow \mathscr {F}^{-}V_{f}:=V_{f}/\mathscr {F}^{+}V_{f}$
(see, e.g., [Reference Darmon and Rotger18, p. 634]). Thus, it follows that
The implications
$L(f\otimes g\otimes g^{*},1)=0\Longrightarrow \kappa _{\breve {f},\breve {g}\breve {g}^{*}}\in \text {Sel}(\mathbf {Q},V_{fgg^{*}})$
and
$L(f/K\otimes \chi ,1)\neq 0\Longrightarrow \text {Sel}(K,V_{f}(1)\otimes \chi )=0$
, which follow from [Reference Darmon and Rotger18, Thm. C] and [Reference Chida and Hsieh12, Thm. 1], respectively, therefore yield the result.
Suppose from now on that
$f^{\circ }\in S_{2}(\Gamma _{0}(N_{f}))$
is the newform associated to an elliptic curve
$E/\mathbf {Q}$
with good ordinary reduction at p. Thus,
$V_{f}(1)\simeq V_{p}E$
, and from (3.13) we obtain an Iwasawa cohomology class
$$ \begin{align*} \kappa_{\infty}(\breve{f},\breve{{\boldsymbol{g}}}\breve{{\boldsymbol{g}}}^{*})\in\widehat{\textrm{H}}^{1}(K_{\infty},V_{p}E). \end{align*} $$
Set
$V=V_{p}E$
for ease of notation. Note that
$\operatorname {\mathrm {Fil}}^{-1}{\mathbf D}(V)={\mathbf D}(V)$
and, by the Weil pairing,
$V^{*}\simeq V$
. Let
${\mathfrak P}$
be the prime of
$\overline {\mathbf {Q}}$
above p induced by our fixed embedding
$\iota _{p}$
(inducing
$\frak {p}$
on K), and for any subfield
$H\subseteq \overline {\mathbf {Q}}$
denote by
$\hat H=H_{\mathfrak P}$
the completion of H with respect to
${\mathfrak P}$
. Then
$\text {Gal}(\hat K_{\infty }/{\mathbf {Q}}_{p})$
is identified with the decomposition group of
$\mathfrak {P}$
in
$\Gamma _{\infty }=\text {Gal}(K_{\infty }/K)$
.
For any integer m, let
$H_{m}$
be the ring class field of K of conductor m and put
$F=\hat H_{c}$
for a fixed c prime to p. Let
$\varpi \in K$
be a generator of
${\mathfrak p}^{[F:{\mathbf {Q}}_{p}]}$
and let
$F_{\infty }/F$
be the Lubin–Tate
$\mathbf {Z}_{p}$
-extension associated with the uniformiser
$\varpi /\overline {\varpi }\in \mathcal O_{F}$
(see [Reference Kobayashi30, §3.1]). As is well-known, we have
$$ \begin{align*} F_{\infty}=\bigcup_{n=0}^{\infty}\hat H_{cp^{n}} \end{align*} $$
(see, e.g., [Reference Shnidman42, Prop. 8.3]). In particular,
$F_{\infty }$
contains
$\hat K_{\infty }$
.
Let
$\omega _{E}$
be the Néron differential of E, regarded as an element in
${\mathbf D}(\text {H}_{\text {et}}^{1}(E_{/\overline {\mathbf {Q}}},{\mathbf {Q}}_{p}))\simeq {\mathbf D}(V^{*})$
. Let
$\alpha _{p}\in \mathbf {Z}_{p}^{\times }$
be the p-adic unit eigenvalue of the Frobenius map
$\varphi $
acting on
${\mathbf D}(V)$
and let
$\eta \in {\mathbf D}(V)\simeq {\mathbf D}(\text {H}^{1}_{\text {et}}(E_{/\overline {\mathbf {Q}}},{\mathbf {Q}}_{p}))\otimes {\mathbf D}({\mathbf {Q}}_{p}(1))$
be a
$\varphi $
-eigenvector of slope
$-1$
such that
$$ \begin{align} \varphi \eta=p^{-1}\alpha_{p}\cdot\eta\quad\textrm{and}\quad \langle \eta, \omega_{E}\otimes t^{-1}\rangle_{\textrm{dR}}=1. \end{align} $$
Finally, note that hypothesis (3.5) holds since
$ {\mathbf D}(V)^{\varphi ^{[F:{\mathbf {Q}}_{p}]}=(\varpi /\overline {\varpi })^{j}}=0$
for any
$j\in \mathbf {Z}$
, given that the
$\varphi $
-eigenvalues of
${\mathbf D}(V)$
are p-Weil numbers, while
$\varpi /\overline {\varpi }$
is a
$1$
-Weil number.
The second part of the next result recasts the ‘explicit reciprocity law’ of [Reference Darmon and Rotger18, Thm. 5.3] (see also [Reference Darmon and Rotger19, Thm. 5.1] and [Reference Bertolini, Seveso and Venerucci1, Thm. A]) in terms of the Coleman map of Subsection 3.3.
Theorem 3.6. Assume that
$L(f\otimes g\otimes g^{*},1)=0$
and that
$L(f/K\otimes \chi ,1)\neq 0$
. Then, for any test vectors
$(\breve {f},\breve {{\boldsymbol {g}}},\breve {{\boldsymbol {g}}}^{*})$
, we have
$$ \begin{align*} \mathrm{Loc}_{\overline{\mathfrak{p}}}(\kappa_{\infty}(\breve{f},\breve{{\boldsymbol{g}}}\breve{{\boldsymbol{g}}}^{*}))=0 \end{align*} $$
and
$$ \begin{align*} \mathrm{Col}^{\eta}(\mathrm{Loc}_{\mathfrak{p}}(\kappa_{\infty}(\breve{f},\breve{{\boldsymbol{g}}}\breve{{\boldsymbol{g}}}^{*})))= \mathscr{L}_{p}^{f}(\breve{f},{\breve{{\boldsymbol{g}}}\breve{{\boldsymbol{g}}}^{*}}) \cdot 2\alpha_{p}^{-1}(1-\alpha_{p}^{-1}\chi(\overline{{\mathfrak p}}))^{-1}. \end{align*} $$
Proof. Let
$\mathscr {F}^{++}\mathbb {V}_{f{\boldsymbol {g}}{\boldsymbol {g}}^{*}}^{\dagger }$
be the rank 4
$G_{{\mathbf {Q}}_{p}}$
-stable submodule of
$\mathbb {V}_{f{\boldsymbol {g}}{\boldsymbol {g}}^{*}}^{\dagger }$
defined by
$$ \begin{align*} \left[\mathscr{F}^{+}V\otimes\mathscr{F}^{+}V_{{\boldsymbol{g}}}\otimes V_{{\boldsymbol{g}}^{*}}+\mathscr{F}^{+}V\otimes V_{{\boldsymbol{g}}}\otimes \mathscr{F}^{+}V_{{\boldsymbol{g}}^{*}}+V\otimes \mathscr{F}^{+}V_{{\boldsymbol{g}}}\otimes \mathscr{F}^{+}V_{{\boldsymbol{g}}^{*}}\right]\otimes\mathcal X^{-1}. \end{align*} $$
The class
$\kappa (\breve {f},\breve {{\boldsymbol {g}}}\breve {{\boldsymbol {g}}}^{*})=(\kappa _{\infty }(\breve {f},\breve {{\boldsymbol {g}}}\breve {{\boldsymbol {g}}}^{*}),\kappa _{0}(\breve {f},\breve {{\boldsymbol {g}}}\breve {{\boldsymbol {g}}}^{*}))\in \text {H}^{1}(\mathbf {Q},\mathbb {V}_{f{\boldsymbol {g}}{\boldsymbol {g}}^{*}}^{\dagger })$
is known to land in the kernel of the composite map
$$ \begin{align*} \textrm{H}^{1}(\mathbf{Q},\mathbb{V}_{f{\boldsymbol{g}}{\boldsymbol{g}}^{*}}^{\dagger})\xrightarrow{\textrm{Loc}_{p}} \textrm{H}^{1}({\mathbf{Q}}_{p},\mathbb{V}_{f{\boldsymbol{g}}{\boldsymbol{g}}^{*}}^{\dagger})\rightarrow\textrm{H}^{1}({\mathbf{Q}}_{p},\mathbb{V}_{f{\boldsymbol{g}}{\boldsymbol{g}}^{*}}^{\dagger}/\mathscr{F}^{++}\mathbb{V}_{f{\boldsymbol{g}}{\boldsymbol{g}}^{*}}^{\dagger})\nonumber \end{align*} $$
(see, e.g., [Reference Darmon and Rotger19, Prop. 5.8]). Using (2.4), we immediately find that
$$ \begin{align*} \mathscr{F}^{++}\mathbb{V}_{f{\boldsymbol{g}}{\boldsymbol{g}}^{*}}^{\dagger}=V\otimes\Psi_{T}^{1-\tau}+\mathscr{F}^{+}V\otimes(\chi^{}+\chi^{-1}) \end{align*} $$
and, therefore, identifying
$G_{{\mathbf {Q}}_{p}}$
with
$G_{K_{\mathfrak p}}$
via our fixed embedding
$\overline {\mathbf {Q}}\hookrightarrow \overline {\mathbf {Q}}_{p}$
, we obtain
$$ \begin{align*} \text{H}^{1}({\mathbf{Q}}_{p},\mathscr{F}^{++}\mathbb{V}_{f{\boldsymbol{g}}{\boldsymbol{g}}^{*}}^{\dagger})\simeq\text{H}^{1}(K_{{\mathfrak p}},V\otimes\Psi_{T}^{1-\tau})&\oplus\text{H}^{1}(K_{{\mathfrak p}},\mathscr{F}^{+}V\otimes\chi)\oplus\text{H}^{1}(K_{\overline{{\mathfrak p}}},\mathscr{F}^{+}V\otimes\chi). \end{align*} $$
This shows the vanishing of
$\text {Loc}_{\overline {\mathfrak {p}}}(\kappa _{\infty }(\breve {f},\breve {{\boldsymbol {g}}}\breve {{\boldsymbol {g}}}^{*}))$
, and the second equality in the theorem follows from Lemma 3.5 and [Reference Darmon and Rotger18, Thm. 5.3].
Corollary 3.7. Assume that
$L(f\otimes g\otimes g^{*},1)=0$
and that
$L(f/K,\chi ,1)\neq 0$
. Let
$(\underline {\breve {f}},\underline {\breve {{\boldsymbol {g}}}},\underline {\breve {{\boldsymbol {g}}}}^{*})$
be the triple of test vectors from Theorem 2.1. Then
$\mathrm{Loc}_{\overline {\mathfrak {p}}}(\kappa _{\infty }(\underline {\breve {f}},\underline {\breve {{\boldsymbol {g}}}}\underline {\breve {{\boldsymbol {g}}}}^{*}))=0$
, and
$$ \begin{align*} \mathrm{Col}^{\eta}(\mathrm{Loc}_{\mathfrak{p}}(\kappa_{\infty}(\underline{\breve{f}},\underline{\breve{{\boldsymbol{g}}}}\underline{\breve{{\boldsymbol{g}}}}^{*})))&=\pm\mathbf{w}^{-1}\cdot\Theta_{f/K}(T)\cdot \sqrt{L^{\mathrm{alg}}(f/K\otimes\chi,1)}\cdot\frac{2C_{f,\chi}}{\alpha_{p}(1-\alpha_{p}^{-1}\chi(\overline{{\mathfrak p}}))}\cdot\frac{\eta_{f^{\circ}}}{\eta_{f^{\circ},N^{-}}}, \end{align*} $$
where
and
$C_{f,\chi }\in K(\chi ,\alpha _{p})^{\times }$
are as in Proposition 2.5.
Remark 3.8. Corollary 3.7 places for the first time
$\Theta _{f/K}(T)$
within the landscape of Perrin-Riou’s vision [Reference Perrin-Riou37], whereby p-adic L-functions ought to arise as the image of p-adic families of special cohomology classes under generalised Coleman power series maps. For a different class of anticyclotomic p-adic L-functions introduced by Bertolini–Darmon–Prasanna [Reference Bertolini, Darmon and Prasanna6], a similar result was obtained by the authors in [Reference Castella and Hsieh11, Reference Castella10].
4 Anticyclotomic derived p-adic heights
The main result of this section is Theorem 4.5, giving a formula for the anticyclotomic derived p-adic heights in terms of the Coleman map introduced before. This generalises a formula of [Reference Rubin40] to arbitrary rank.
4.1 The general theory
Initiated in [Reference Bertolini and Darmon3] and further developed in [Reference Howard26], the theory of derived p-adic heights relates the degeneracies of the p-adic height to the failure of the
$p^{\infty }$
-Selmer group of elliptic curves over a
$\mathbf {Z}_{p}$
-extension to be semi-simple as an Iwasawa module. Derived p-adic heights seem to have been rarely used for arithmetic applications in the previous literature,Footnote
1
but they will play a key role in the proof of our results. In this section, we briefly recall the results from [Reference Howard26] (with a slight generalisation) that we will need.
Let E be an elliptic curve over
$\mathbf {Q}$
of conductor N with good ordinary reduction at
$p>2$
. For any number field F, let
$\text {Sel}_{p^{r}}(E/F)\subseteq \text {H}^{1}(F,E[p^{r}])$
be the
$p^{r}$
-Selmer group of E over F and put
$$ \begin{align*} \textrm{Sel}(F,T_{p}E)=\varprojlim_{r}\textrm{Sel}_{p^{r}}(E/F) \end{align*} $$
and
$\text {Sel}(F,V_{p}E)=\text {Sel}(F,T_{p}E)\otimes _{\mathbf {Z}_{p}}{\mathbf {Q}}_{p}$
. Let K be an imaginary quadratic field of discriminant prime to
$Np$
and let
$K_{\infty }/K$
be the anticyclotomic
$\mathbf {Z}_{p}$
-extension of K. Denote by
$K_{n}$
the subsection of
$K_{\infty }$
with
$[K_{n}\colon K]=p^{n}$
and put
$$ \begin{align*} \textrm{Sel}_{p^{\infty}}(E/K_{\infty})=\varinjlim_{n}\textrm{Sel}_{p^{\infty}}(E/K_{n}). \end{align*} $$
Finally, let
be the anticyclotomic Iwasawa algebra and denote by
$J\subseteq \Lambda $
the augmentation ideal.
Theorem 4.1. Let
$N^{-}$
be the largest factor of N divisible only by primes that are inert in K, and suppose that
-
•
$N^{-}$
is squarefree, -
•
$E[p]$
is ramified at every prime
$q\vert N^{-}$
.
Then there is a filtration
$$ \begin{align*} \textrm{Sel}(K,V_{p}E)=S_{p}^{(1)}(E/K)\supseteq S_{p}^{(2)}(E/K)\supseteq\cdots\supseteq S_{p}^{(i)}(E/K)\supseteq\cdots \end{align*} $$
and a sequence of height pairings
$$ \begin{align*} h_{p}^{(i)}: S_{p}^{(i)}(E/K)\times S_{p}^{(i)}(E/K)\to (J^{i}/J^{i+1})\otimes_{\mathbf{Z}_{p}}{\mathbf{Q}}_{p} \end{align*} $$
with the following properties:
-
(a)
$S_{p}^{(i+1)}(E/K)$
is the null-space of
$h_{p}^{(i)}$
. -
(b)
$S_{p}^{(\infty )}(E/K):=\bigcap _{i\geqslant 1}S_{p}^{(i)}(E/K)$
is the subspace of
$\mathrm{Sel}(K,V_{p}E)$
consisting of universal norms for
$K_{\infty }/K$
: where
$$ \begin{align*} S_{p}^{(\infty)}(E/K)=\bigcap_{n=1}^{\infty}\mathrm{cor}_{K_{n}/K}(\mathrm{Sel}(K_{n},V_{p}E)), \end{align*} $$
$\mathrm{cor}_{K_{n}/K}:\mathrm{Sel}(K_{n},V_{p}E)\rightarrow \mathrm{Sel}(K,V_{p}E)$
is the corestriction map.
-
(c)
$h_{p}^{(i)}$
is symmetric (respectively alternating) for i odd (respectively i even). -
(d)
$h_{p}^{(i)}(x^{\tau },y^{\tau })=(-1)^{i}h_{p}^{(i)}(x,y)$
, where
$\tau \in \mathrm{Gal}(K/\mathbf {Q})$
is complex conjugation. -
(e) Let
Then there is a
$$ \begin{align*} e_{i}:=\begin{cases} {\mathrm{dim}}_{{\mathbf{Q}}_{p}}(S_{p}^{(i)}(E/K)/S_{p}^{(i+1)}(E/K))&\mbox{if }i<\infty,\\[0.1cm] {\mathrm{dim}}_{{\mathbf{Q}}_{p}}S_{p}^{(\infty)}(E/K)&\mbox{if }i=\infty. \end{cases} \end{align*} $$
$\Lambda $
-module pseudo-isomorphism with
$$ \begin{align*} \mathrm{Sel}_{p^{\infty}}(E/K_{\infty})^{\vee}\sim\left((\Lambda/J)^{\oplus e_{1}}\oplus\cdots\oplus(\Lambda/J^{i})^{\oplus e_{i}}\oplus\cdots\right)\oplus\Lambda^{\oplus e_{\infty}} \oplus M^{\prime} \end{align*} $$
$M^{\prime }$
a torsion
$\Lambda $
-module with characteristic ideal prime-to-J.
Proof. This follows from Theorem 4.2 and Corollary 4.3 of [Reference Howard26] when
$N^{-}=1$
. We explain how to extend the result to squarefree
$N^{-}$
under the above hypothesis on
$E[p]$
.
Following the discussion in [Reference Howard26, §3] and adopting the notations there, we see that it suffices to show the vanishing of
$$ \begin{align} \textrm{H}^{1}_{\textrm{ur}}(K_{v},\mathbf{S}[p^{k}]):=\textrm{ker}\big(\textrm{H}^{1}(K_{v},\mathbf{S}[p^{k}])\rightarrow\textrm{H}^{1}(K_{v}^{\textrm{ur}},\mathbf{S}[p^{k}])\big) \end{align} $$
for every prime
$v\nmid p$
inert in K, where
$\mathbf {S}[p^{k}]=\varinjlim _{n}\text {Ind}_{K_{n}/K}E[p^{k}]$
. Since such primes v split completely in
$K_{\infty }/K$
, by Shapiro’s lemma and inflation-restriction we find
$$ \begin{align} \begin{aligned} \textrm{H}^{1}_{\textrm{ur}}(K_{v},\mathbf{S}[p^{k}])&\simeq \textrm{ker}\big(\textrm{H}^{1}(K_{v},E[p^{k}])\otimes\Lambda^{\vee}\rightarrow\textrm{H}^{1}(K_{v}^{\textrm{ur}},E[p^{k}])\otimes\Lambda^{\vee}\big)\\ &\simeq\textrm{H}^{1}(\mathbf{F}_{v},E[p^{k}]^{I_{v}})\otimes\Lambda^{\vee}\\ &=(E[p^{k}]^{I_{v}}/(\textrm{Fr}_{v}-1)E[p^{k}]^{I_{v}})\otimes\Lambda^{\vee}, \end{aligned} \end{align} $$
where
$\mathbf {F}_{v}$
is the residue field of
$K_{v}$
,
$\text {Fr}_{v}$
is a Frobenius element at v and
$\Lambda ^{\vee }=\text {Hom}_{\mathbf {Z}_{p}}(\Lambda ,{\mathbf {Q}}_{p}/\mathbf {Z}_{p})$
.
Since
$N^{-}$
is squarefree, any prime v as above is a prime of multiplicative reduction for E, so by Tate’s uniformisation we have
$$ \begin{align*} E[p^{\infty}]\sim\left(\begin{array}{cc}\varepsilon_{\textrm{}}&*\\ 0&1\end{array}\right) \end{align*} $$
as
$G_{K_{v}}$
-modules, where
$\varepsilon $
is the p-adic cyclotomic character. Since
$\bar {\rho }_{E,p}$
is ramified at v, the image of ‘
$*$
’ in the above matrix generates
${\mathbf {Q}}_{p}/\mathbf {Z}_{p}$
. Thus, we see that
which by
$(4.2)$
implies the vanishing of
$\text {H}^{1}_{\text {ur}}(K_{v},\mathbf {S}[p^{k}])$
.
We next recall Howard’s abstract generalisation of Rubin’s height formula for derived p-adic heights. For every prime v of K above p, let
$\mathscr {F}_{v}^{+}T_{p}E$
be the kernel of the reduction map
$T_{p}E\rightarrow T_{p}\tilde {E}$
, where
$\tilde {E}$
is the reduction of E modulo v. Letting
$V=V_{p}E$
, this induces the filtration
$\mathscr {F}_{v}^{+}V\subseteq V$
. For every prime
$v\vert p$
of K, write
$$ \begin{align*} \widehat{\textrm{H}}^{1}_{\textrm{fin}}(K_{\infty,v},V)=\bigoplus_{w\vert v}\widehat{\textrm{H}}^{1}(K_{\infty,w},\mathscr{F}_{v}^{+}V), \end{align*} $$
where w runs over the places of
$K_{\infty }$
above v. The local pairings in (3.6) induce a semi-local pairing
$$ \begin{align*} \langle-,-\rangle_{K_{\infty,v}}:\widehat{\textrm{H}}^{1}(K_{\infty,v},V)\times\widehat{\textrm{H}}^{1}_{\textrm{fin}}(K_{\infty,v},V)\rightarrow\Lambda\otimes_{\mathbf{Z}_{p}}{\mathbf{Q}}_{p} \end{align*} $$
which induces a perfect duality between the
$\widehat {\text {H}}^{1}(K_{\infty ,v},V)/\widehat {\text {H}}^{1}_{\text {fin}}(K_{\infty ,v},V)$
and
$\widehat {\text {H}}^{1}_{\text {fin}}(K_{\infty ,v},V)$
. Every class
${\mathbf z}\in \widehat {\text {H}}^{1}(K_{\infty },V)$
defines a linear map
$$ \begin{align*} \mathcal{L}_{p,{\mathbf z}}=\sum_{v\vert p}\langle\textrm{Loc}_{v}({\mathbf z}),-\rangle_{K_{\infty,v}}:\widehat{\textrm{H}}^{1}_{\textrm{fin}}(K_{\infty,p},V)=\bigoplus_{v\vert p}\widehat{\textrm{H}}^{1}_{\textrm{fin}}(K_{\infty,v},V)\rightarrow\Lambda\otimes_{\mathbf{Z}_{p}}{\mathbf{Q}}_{p}. \end{align*} $$
Let
$\text {ord}(\mathcal {L}_{p,{\mathbf z}})$
be the largest integer r such that the image of
$\mathcal {L}_{p,{\mathbf z}}$
is contained in
$J^{r}$
.
Theorem 4.2. Let r be any positive integer with
$r\leqslant \mathrm{ord}(\mathcal {L}_{p,{\mathbf z}})$
. Then
$z=\mathrm{pr}_{K}({\mathbf z})$
belongs to
$S_{p}^{(r)}(E/K)$
and for any
$w\in S_{p}^{(r)}(E/K)$
we have
$$ \begin{align*} h_{p}^{(r)}(z,w)=- \mathcal{L}_{p,{\mathbf z}}(\mathbf{w}_{p})\pmod{J^{r+1}} \end{align*} $$
where
$\mathbf {w}_{p}=(\mathbf {w}_{v})_{v\vert p}\in \widehat {\mathrm{H}}^{1}_{\mathrm{fin}}(K_{\infty ,p},V)$
is any semi-local class with
$\mathrm{pr}_{K_{v}}({\mathbf w}_{v})=\mathrm{Loc}_{v}(w)$
for all
$v\vert p$
.
Proof. This is a reformulation of part (c) of Theorem 2.5 in [Reference Howard26]. Note that the existence of
${\mathbf w}_{p}$
follows from the definition of
$S_{p}^{(r)}(E/K)$
in [Reference Howard26], and the fact that the image
$\mathcal {L}_{p,{\mathbf z}}(\mathbf {w}_{p})\in J^{r}/J^{r+1}$
is independent of the choice of
$\mathbf {w}_{p}$
is shown in the proof.
4.2 Derived p-adic heights and the Coleman map
Now we compute the local expression in Theorem 4.2 for the derived p-adic height pairing in terms of the Coleman map from Section 3, yielding our higher rank generalisation of Rubin’s formula.
We use the setting and notations introduced after Lemma 3.5. In particular,
$(p)={\mathfrak p}\overline {{\mathfrak p}}$
splits in K, with
${\mathfrak p}$
the prime of K above p induced by our fixed embedding
$\overline {\mathbf {Q}}\hookrightarrow \overline {\mathbf {Q}}_{p}$
. Let
$\hat K_{\infty }$
be the closure of the image of
$K_{\infty }$
in
$\overline {\mathbf {Q}}_{p}$
under this embedding and put
$$ \begin{align*} \Gamma_{\infty}=\operatorname{\mathrm{Gal}}(K_{\infty}/K),\quad\hat\Gamma_{\infty}=\operatorname{\mathrm{Gal}}(\hat K_{\infty}/{\mathbf{Q}}_{p}), \end{align*} $$
so, naturally,
$\hat \Gamma _{\infty }$
is a subgroup of
$\Gamma _{\infty }$
. Also, we put
$F=\hat {H}_{c}$
for some fixed c prime to p and
$F_{\infty }=\hat {H}_{cp^{\infty }}$
, which is a finite extension of
$\hat K_{\infty }$
.
Let
$\boldsymbol {e}\in R^{\psi _{\mathcal F}=0}$
be a generator over
such that
$\boldsymbol {e}(0)=1$
. Define
$$ \begin{align}{\mathbf w}^{\eta}=\Omega^{\epsilon}_{V,1}(\eta\otimes \boldsymbol{e})\in \widehat{\textrm{H}}^{1}(F_{\infty},V),\end{align} $$
where
$\Omega _{V,1}^{\epsilon }$
in is the big exponential map in Theorem 3.2.
As in Subsection 3.3, we let
$\sigma _{0}\in \operatorname {\mathrm {Gal}}(F_{\infty }^{\text {ur}}/{\mathbf {Q}}_{p})$
be such that
$\sigma _{0}|_{{\mathbf {Q}}_{p}^{\text {ur}}}=\mathrm {Fr}$
is the absolute Frobenius.
Proposition 4.3. Let
${\mathbf {Q}}_{p}^{\mathrm{cyc}}$
be the cyclotomic
$\mathbf {Z}_{p}^{\times }$
-extension of
${\mathbf {Q}}_{p}$
. Let
$\sigma _{\mathrm{cyc}}\in \operatorname {\mathrm {Gal}}(F^{\mathrm{ur}}_{\infty }/{\mathbf {Q}}_{p})$
be the Frobenius such that
$\sigma _{\mathrm{cyc}}|_{{\mathbf {Q}}_{p}^{\mathrm{cyc}}}=1$
and
$\sigma _{\mathrm{cyc}}|_{{\mathbf {Q}}_{p}^{\mathrm{ur}}}=\mathrm {Fr}$
. For each
$\hat {\mathbf z}\in \widehat {\mathrm{H}}^{1}(\hat K_{\infty },V)$
, we have

Proof. We first recall that for every
$e\in (R\otimes _{\mathscr O}{\mathcal W})^{\psi _{\mathcal F}=0}$
, the big exponential map
$\Omega ^{\epsilon }_{V,1}(\eta \otimes e)$
in Theorem 3.2 is given by
where
$G_{e}\in {\mathbf D}(V)\otimes {\mathscr H}_{1,\mathcal Q}(X)$
is a solution of
$(1-\varphi \otimes \varphi _{\mathcal F})G_{e}=\eta \otimes e$
and
$\Xi _{n,V}$
is as in
$(3.4)$
. Taking
$$ \begin{align*} G_{e}=G_{\boldsymbol{e}}=\sum_{m=0}^{\infty}(\varphi\otimes\varphi_{\mathcal F})^{m}(\eta\otimes\boldsymbol{e})=\sum_{m=0}^{\infty}\varphi^{m}\eta\otimes\boldsymbol{e}^{\textrm{Fr}^{m}},\\[-15pt] \end{align*} $$
we obtain
$$ \begin{align} \begin{aligned}\Xi_{n,V}(G_{\boldsymbol{e}})&=p^{-(n+1)}(\varphi^{-(n+1)}\otimes 1)G_{\boldsymbol{e}}^{\mathrm{Fr}^{-(n+1)}}(\epsilon_{n})\\ &=\sum_{m=0}^{\infty} (p\varphi)^{-(n+1)}\varphi^{m}\eta\otimes \boldsymbol{e}^{\mathrm{Fr}^{m-(n+1)}}(\epsilon_{n-m}). \end{aligned} \\[-15pt]\nonumber\end{align} $$
Put
$z_{n}=\text {pr}_{\hat K_{n}}(\hat {\mathbf z})$
and
$\hat G_{n}=\operatorname {\mathrm {Gal}}(\hat {K}_{n}/{\mathbf {Q}}_{p})$
. From the definition of the Coleman map
$\text {Col}_{e}^{\epsilon }$
and using in (4.4) and (4.5), we thus find that
$$ \begin{align} &\left[ \text{pr}_{\hat K_{n}}(\text{Col}^{\epsilon}_{\boldsymbol{e}}(\hat{\mathbf z})), \eta\right]_{V}=\nonumber\\ &\quad\sum_{m=0}^{\infty}\left[ \sum_{\gamma\in \hat G_{n}}\exp^{*}_{\hat K_{n},V}(z_{n}^{\gamma^{-1}\sigma_{0}^{n+1-m}})\gamma, \sum_{\tau\in\hat G_{n}} (p\varphi)^{-(n+1)}\varphi^{m}\eta\otimes\boldsymbol{e}^{\mathrm{Fr}^{m-(n+1)}}(\epsilon_{n-m})^{\tau\sigma_{0}^{n+1-m}}\tau|_{\hat K_{n}}\right]_{V},\\[-15pt]\nonumber \end{align} $$
where
$\text {exp}_{\hat K_{n},V}^{*}$
is the Bloch–Kato dual exponential map.
On the other hand, it is immediately seen that
$$ \begin{align*} \textrm{pr}_{\hat K_{n}}(\langle \hat{\mathbf z}, \textrm{cor}_{F_{\infty}/\hat K_{\infty}}({\mathbf w}^{\eta})\rangle_{\hat K_{\infty}})=\frac{1}{[F_{\infty}:\hat K_{\infty}]}\sum_{j=1}^{[F:{\mathbf{Q}}_{p}]}\textrm{pr}_{\hat K_{n}}(\langle \hat{\mathbf z}^{\sigma_{0}^{-j}}, {\mathbf w}^{\eta}\rangle_{F_{\infty}})\sigma_{0}^{j}|_{\hat K_{n}},\\[-15pt] \end{align*} $$
and from (4.6) we find that
$$ \begin{align*} &\text{pr}_{\hat K_{n}}(\langle \hat{\mathbf z}^{\sigma_{0}^{-j}}, {\mathbf w}^{\eta}\rangle_{F_{\infty}})=\sum_{\gamma\in\hat G_{n}}\langle z_{n}^{\sigma_{0}^{-j}\gamma^{-1}}, \exp_{F_{n},V}(\Xi_{n,V}(G_{\boldsymbol{e}})\rangle_{F_{n}}\gamma|_{\hat K_{n}}\\ &=\operatorname{\mathrm{Tr}}_{F_{n}/{\mathbf{Q}}_{p}}\left(\left[ \sum_{\gamma\in\hat G_{n}}\exp^{*}_{\hat K_{n},V}(z_{n}^{\sigma_{0}^{-j}\gamma^{-1}})\gamma|_{\hat K_{\infty}}, \Xi_{n,V}(G_{\boldsymbol{e}})\right]_{V}\right)\\ &=\sum_{m=0}^{\infty}\sum_{i=1}^{[F:{\mathbf{Q}}_{p}]} \left[ \sum_{\gamma\in \hat G_{n}}\exp^{*}_{\hat K_{n},V}(z_{n}^{\gamma^{-1}\sigma_{0}^{i-j+n+1-m}})\gamma, \sum_{\tau\in \hat G_{n}} (p\varphi)^{-(n+1)}\varphi^{m}\eta\otimes \boldsymbol{e}^{\mathrm{Fr}^{m-(n+1)}}(\epsilon_{n-m})^{\tau\sigma_{0}^{i+n+1-m}}\tau|_{\hat K_{n}}\right]\\ &=\sum_{i=1}^{[F:{\mathbf{Q}}_{p}]}\left[ \text{pr}_{\hat K_{n}}(\text{Col}_{\boldsymbol{e}}^{\epsilon}({\mathbf z}^{\sigma_{0}^{-j}})^{\sigma_{0}^{i}}), \eta\right]. \end{align*} $$
Taking the limit over n, we thus arrive at
$$ \begin{align} \begin{aligned} \langle \hat{\mathbf z}, \textrm{cor}_{F_{\infty}/\hat K_{\infty}}({\mathbf w}^{\eta})\rangle_{\hat K_{\infty}}&=\frac{1}{[F_{\infty}:\hat K_{\infty}]}\sum_{j=1}^{[F:{\mathbf{Q}}_{p}]}\sum_{i=1}^{[F:{\mathbf{Q}}_{p}]}\left[ \textrm{pr}_{\hat K_{\infty}}(\textrm{Col}_{\boldsymbol{e}}^{\epsilon}(\hat{\mathbf z}^{\sigma_{0}^{-j}})^{\sigma_{0}^{i}}), \eta\right]\sigma_{0}^{j}\\ &=\frac{1}{[F_{\infty}:\hat K_{\infty}]}\sum_{i=1}^{[F:{\mathbf{Q}}_{p}]}\textrm{pr}_{\hat K_{\infty}}(\textrm{Col}^{\eta}(\hat{\mathbf z})^{\sigma_{0}^{i}})\cdot \frac{1}{h_{\boldsymbol{e}}^{\sigma_{0}^{i}}}, \end{aligned} \end{align} $$
using (3.9) for the second equality. Finally, writing
$g_{\rho }=\rho (1+X)$
for the isomorphism
$\rho $
in (3.8), one has
$g_{\rho }^{\sigma _{0}^{-i}}(\epsilon _{i-1})=\zeta _{p^{i}}\in {\mathbf {Q}}_{p}^{\text {cyc}}$
, which immediately implies the relation
$$ \begin{align*} \textrm{pr}_{\hat K_{\infty}}(\textrm{Col}^{\eta}(\hat{\mathbf z}))\cdot\sigma_{\textrm{cyc}}^{i} =\textrm{pr}_{\hat K_{\infty}}(\textrm{Col}^{\eta}(\hat{\mathbf z})^{\sigma_{0}^{i}}). \end{align*} $$
Together with (4.7), this concludes the proof.
We shall also need the following result.
Lemma 4.4. The projection of
${\mathbf w}^{\eta }$
to
$\mathrm{H}^{1}(F,V)$
is given by
$$ \begin{align*}\mathrm{pr}_{F}({\mathbf w}^{\eta})=\exp_{F,V}\left(\frac{1-p^{-1}\varphi^{-1}}{1-\varphi}\eta\right). \end{align*} $$
Proof. Let
$g=\eta \otimes \boldsymbol {e}$
and let
$G(X)\in {\mathbf D}(V)\otimes {\mathscr H}_{1,\mathcal Q}(X)$
such that
$(1-\varphi \otimes \varphi _{\mathcal F})G=g$
. Then
and, by definition,
where
$\Xi _{0,V}(G)$
is as in
$(3.4)$
. Equation (3.1) and the fact that
$\psi _{\mathcal F}\boldsymbol {e}(X)=0$
imply that
$$ \begin{align*}\sum_{\zeta\in {\mathcal F}^{\mathrm{Fr}^{-1}}[p]}\boldsymbol{e}^{\mathrm{Fr}^{-1}}(X\oplus_{\mathcal F} \zeta)=0,\end{align*} $$
from which we obtain
$$ \begin{align*}\operatorname{\mathrm{Tr}}_{F_{0}/F}(G^{\mathrm{Fr}^{-1}}(\epsilon_{0}))=\sum_{\tau\in\operatorname{\mathrm{Gal}}(F_{0}/F)}\eta\otimes \boldsymbol{e}(\epsilon_{0}^{\tau})-\eta+(1-\varphi)^{-1}\eta=\frac{p\varphi-1}{1-\varphi}\eta.\end{align*} $$
Together with (4.8), we thus see that
$$ \begin{align*} \text{pr}_{F}({\mathbf w}^{\eta}) &=\exp_{F,V}\operatorname{\mathrm{Tr}}_{F_{0}/F}\left(p^{-1}\varphi^{-1}(G^{\mathrm{Fr}^{-1}}(\epsilon_{0}))\right)=\exp_{F,V}\left((1-p^{-1}\varphi^{-1})(1-\varphi)^{-1} \eta\right), \end{align*} $$
concluding the proof.
Recall the identification
$K_{\mathfrak p}={\mathbf {Q}}_{p}$
and let
$\text {H}^{1}_{\text {fin}}({\mathbf {Q}}_{p},V)\subset \text {H}^{1}({\mathbf {Q}}_{p},V)$
be the subspace given by
$\text {H}^{1}({\mathbf {Q}}_{p},\mathscr {F}_{\mathfrak p}^{+}V)$
. As is well-known,
$\text {H}^{1}_{\text {fin}}({\mathbf {Q}}_{p},V)$
agrees with the Bloch–Kato finite subspace. Let
$\text {log}_{\mathbf {Q},V}:\text {H}^{1}_{\text {fin}}({\mathbf {Q}}_{p},V)\rightarrow {\mathbf D}(V)$
be the Bloch–Kato logarithm map and denote by
$\text {log}_{\omega _{E},{\mathfrak p}}$
the composition
$$ \begin{align} \textrm{log}_{\omega,{\mathfrak p}}:\textrm{H}^{1}({\mathbf{Q}}_{p},V)\xrightarrow{\textrm{log}_{\mathbf{Q},V}}{\mathbf D}(V)\xrightarrow{\langle-,\omega_{E}\otimes t^{-1}\rangle_{\textrm{dR}}}{\mathbf{Q}}_{p}. \end{align} $$
For a global class
${\mathbf z}\in \widehat {\text {H}}^{1}(K_{\infty },V)$
, put

where
$\text {Loc}_{{\mathfrak P}}:\widehat {\text {H}}^{1}(K_{\infty },V)\rightarrow \widehat {\text {H}}^{1}(\hat {K}_{\infty },V)$
is the restriction map, and let J be the augmentation ideal of
.
Theorem 4.5. Let
${\mathbf z}\in \widehat {\mathrm{H}}^{1}(K_{\infty },V)$
and denote by
$\mathfrak {r}$
be the largest integer r such that
where
$\overline {{\mathbf z}}={\mathbf z}^{\tau }$
for the complex conjugation
$\tau \in \mathrm {Gal}(K/\mathbf {Q})$
. Then for every
$0<r\leqslant \mathfrak {r}$
, the class
$z=\mathrm{pr}_{K}({\mathbf z})$
belongs to
$ S_{p}^{(r)}(E/K)$
, and for every
$x\in S_{p}^{(r)}(E/K)$
we have
$$ \begin{align*} h_{p}^{(r)}(z,x)&=-\frac{1-p^{-1}\alpha_{p}}{1-\alpha_{p}^{-1}}\cdot \left(\mathrm{Col}^{\eta}(\mathrm{Loc}_{\mathfrak p}({\mathbf z}))\cdot\log_{\omega,\mathfrak{p}}(x)+\mathrm{Col}^{\eta}(\mathrm{Loc}_{\mathfrak p}(\overline{{\mathbf z}}))\cdot\log_{\omega,\mathfrak{p}}(\overline{x})\right)\;(\mathrm{mod}\;{J^{r+1}}), \end{align*} $$
where
$\overline {x}=x^{\tau }$
.
Proof. The inclusion
$z\in S_{p}^{(r)}(E/K)$
follows immediately from Theorem 4.2. Let
$x\in S_{p}^{(r)}(E/K)$
and put
$$ \begin{align*} {\mathbf w}_{{\mathfrak P}}:=\textrm{cor}_{F_{\infty}/\hat K_{\infty}}({\mathbf w}^{\eta})\in \widehat{\textrm{H}}^{1}_{\textrm{fin}}(\hat K_{\infty},V). \end{align*} $$
Then, since
$\dim _{{\mathbf {Q}}_{p}}\text {H}^{1}_{\text {fin}}({\mathbf {Q}}_{p},V)=1$
, we can write
$$ \begin{align*}\textrm{Loc}_{\mathfrak p}(x)=c\cdot \textrm{pr}_{{\mathbf{Q}}_{p}}({\mathbf w}_{\mathfrak P}) \end{align*} $$
for some
$c\in {\mathbf {Q}}_{p}$
. Since
$\text {pr}_{{\mathbf {Q}}_{p}}({\mathbf w}_{{\mathfrak P}})=\text {cor}_{F/{\mathbf {Q}}_{p}}({\mathbf w}^{\eta })$
, from Lemma 4.4 and (3.14) we see that
$$ \begin{align*}\langle \log_{{\mathbf{Q}}_{p},V}(\textrm{pr}_{{\mathbf{Q}}_{p}}({\mathbf w}_{{\mathfrak P}})), \omega_{E}\otimes t^{-1}\rangle_{\textrm{dR}}=[F:{\mathbf{Q}}_{p}]\cdot\frac{1-\alpha_{p}^{-1}}{1-p^{-1}\alpha_{p}}, \end{align*} $$
from which we deduce that
$$ \begin{align*} c=\frac{1-p^{-1}\alpha_{p}}{1-\alpha_{p}^{-1}}\cdot [F:{\mathbf{Q}}_{p}]^{-1}\cdot\log_{\omega_{E},{\mathfrak p}}(x). \end{align*} $$
Together with the formula in Theorem 4.2, this gives the equality
$$ \begin{align*} h_{p}^{(r)}(z,x)&=-\frac{1-p^{-1}\alpha_{p}}{1-\alpha_{p}^{-1}}\cdot[F:{\mathbf{Q}}_{p}]^{-1}\\ &\times\left(\sum_{\sigma\in\Gamma_{\infty}/\hat \Gamma_{\infty}}\log_{\omega_{E},{\mathfrak p}}(x)\cdot\langle \text{Loc}_{{\mathfrak P}}({\mathbf z}^{\sigma^{-1}}), {\mathbf w}_{{\mathfrak P}}\rangle_{\hat K_{\infty}}\sigma+ \log_{\omega_{E},{\mathfrak p}}(\overline{x})\cdot\langle \text{Loc}_{{\mathfrak P}}(\overline{{\mathbf z}}^{\sigma^{-1}}), {\mathbf w}_{{\mathfrak P}}\rangle_{\hat K_{\infty}}\sigma \right) \end{align*} $$
in
$J^{r}/J^{r+1}$
. Since
$h_{\boldsymbol {e}}\equiv 1\pmod {J}$
, as is immediate from the defining relation
$\rho (1+X)=h_{\boldsymbol {e}}\cdot \boldsymbol {e}$
and the fact that
$\boldsymbol {e}(0)=1$
, the result now follows from Proposition 4.3.
5 Proof of the main results
We begin by recalling the setting of Theorem A in the Introduction. Let
$E/\mathbf {Q}$
be an elliptic curve of conductor N with good ordinary reduction at the prime
$p>3$
and assume that E has root number
$+1$
and
$L(E,1)=0$
(so, of course,
$\text {ord}_{s=1}L(E,s)\geqslant 2$
). Let K be an imaginary quadratic field of discriminant prime to N in which
$(p)=\frak {p}\overline {\frak {p}}$
splits, with
$\mathfrak {p}$
the prime of K above p induced by our fixed embedding
$\overline {\mathbf {Q}}\hookrightarrow \overline {\mathbf {Q}}_{p}$
. Let
$\psi $
be a ray class character of K of conductor prime to
$Np$
and, as in Conjecture 1.2, assume that
-
(a)
$L(E^{K},1)\cdot L(E/K,\chi ,1)\neq 0$
, -
(b)
$\chi (\overline {\mathfrak {p}})\neq 1$
,
where
$\chi =\psi /\psi ^{\tau }$
. In addition, we assume that
-
(c)
$E[p]$
is irreducible as a
$G_{\mathbf {Q}}$
-module, -
(d)
$N^{-}$
is the squarefree product of an odd number of primes, -
(e)
$E[p]$
is ramified at every prime
$q\vert N^{-}$
,
where
$N^{-}$
is the maximal factor of N divisible only by primes inert in K. Let
$(f,g,g^{*})$
be the triple consisting of the newform
$f\in S_{2}(\Gamma _{0}(N))$
associated to E and the weight 1 theta series associated to
$\psi $
and
$\psi ^{-1}$
, respectively. Finally, put
$\alpha =\psi (\overline {{\mathfrak p}})$
and
$\beta =\psi ({\mathfrak p})$
.
5.1 Generalised Kato classes
By construction, the Hida families

considered in Subsection 2.4 specialise at
$S=\mathbf {v}-1$
to
$g_{\alpha }$
and
$g_{\alpha ^{-1}}^{*}$
, the p-stabilisations of g and
$g^{*}$
with
$U_{p}$
-eigenvalue
$\alpha $
and
$\alpha ^{-1}$
, respectively. Thus, for every choice of test vectors
$(\breve f,\breve {{\boldsymbol {g}}}_{\alpha },\breve {{\boldsymbol {g}}}^{*}_{\alpha ^{-1}})$
the
-adic class
$\kappa (\breve f,\breve {{\boldsymbol {g}}}_{\alpha }\breve {{\boldsymbol {g}}}^{*}_{\alpha ^{-1}})$
in
$(3.11)$
specialises to the generalised Kato class
$$ \begin{align*} \kappa_{\alpha,\alpha^{-1}}(f,g,g^{*}):=\kappa(\breve{f},{\breve{{\boldsymbol{g}}}_{\alpha}\breve{{\boldsymbol{g}}}}^{*}_{\alpha^{-1}})\vert_{S=\mathbf{v}-1}\in \textrm{H}^{1}(\mathbf{Q},V_{fgg^{*}}),\nonumber \end{align*} $$
where
$V_{fgg^{*}}:=V_{f}\otimes V_{g}\otimes V_{g^{*}}$
.
Varying over the possible combinations of roots of the Hecke polynomial at p for g and
$g^{*}$
, we thus obtain the four generalised Kato classes
$$ \begin{align} \kappa_{\alpha,\alpha^{-1}}(f,g,g^{*}),\;\kappa_{\alpha,\beta^{-1}}(f,g,g^{*}),\;\kappa_{\beta,\alpha^{-1}}(f,g,g^{*}),\;\kappa_{\beta,\beta^{-1}}(f,g,g^{*})\in\textrm{H}^{1}(\mathbf{Q},V_{fgg^{*}}). \end{align} $$
Note the
$G_{\mathbf {Q}}$
-module decomposition (1.7) yields
$$ \begin{align*} \text{H}^{1}(\mathbf{Q},V_{fgg^{*}})&\simeq\text{H}^{1}(\mathbf{Q},V_{p}E)\oplus\text{H}^{1}(\mathbf{Q},V_{p}E\otimes\text{ad}^{0}V_{p}(g))\\ &\simeq\text{H}^{1}(\mathbf{Q},V_{p}E)\oplus\text{H}^{1}(\mathbf{Q},V_{p}E^{K})\oplus\text{H}^{1}(K,V_{p}E\otimes\chi), \end{align*} $$
where
$E^{K}$
is the twist of E by the quadratic character corresponding to K.
Lemma 5.1. The projections to
$\mathrm{H}^{1}(\mathbf {Q},V_{p}E)$
of each of the classes in
$(5.1)$
lands in
$\mathrm{Sel}(\mathbf {Q},V_{p}E)$
.
Proof. Since we are assuming
$L(E,1)=0$
and (a) above, the result follows from the vanishing of
$\text {Sel}(\mathbf {Q},V_{p}E^{K})$
and
$\text {Sel}(K,V_{p}E\otimes \chi )$
by the same argument as in Lemma 3.5.
5.2 Vanishing of
$\kappa _{\alpha ,\beta ^{-1}}(f,g,g^{*})$
and
$\kappa _{\beta ,\alpha ^{-1}}(f,g,g^{*})$
This part follows easily from the work of Darmon–Rotger [Reference Darmon and Rotger19] and Bertolini–Seveso–Venerucci [Reference Bertolini, Seveso and Venerucci1].
Proposition 5.2.
$\kappa _{\alpha ,\beta ^{-1}}(f,g,g^{*})=\kappa _{\beta ,\alpha ^{-1}}(f,g,g^{*})=0$
.
Proof. Let

be CM Hida families as in Subsection 2.4 but passing through the specialisation
$(g_{\alpha },g_{\beta ^{-1}})$
rather than
$(g_{\alpha },g_{\alpha ^{-1}})$
. Let
$$ \begin{align} \kappa(f,{\boldsymbol{g}}_{\alpha}{\boldsymbol{g}}_{\beta^{-1}}^{*})(S_{2},S_{3})\in\textrm{H}^{1}(\mathbf{Q}, \mathbb{V}^{\dagger}_{f{\boldsymbol{g}}_\alpha{\boldsymbol{g}}^{*}_{\beta^{-1}}}) \end{align} $$
be the two-variable restriction of the three-variable cohomology class constructed in [Reference Darmon and Rotger19] and [Reference Bertolini, Seveso and Venerucci1] (after a choice of test vectors
$\breve {{\boldsymbol {g}}}_{\alpha }$
,
$\breve {{\boldsymbol {g}}}^{*}_{\beta ^{-1}}$
that we omit from the notation), and consider the further restriction
$$ \begin{align*} {\boldsymbol \kappa}^{\iota}:=\kappa(f,{\boldsymbol{g}}_{\alpha}{\boldsymbol{g}}_{\beta^{-1}}^{*})(\mathbf v(1+T)-1,\mathbf v(1+T)^{-1}-1)\in\textrm{H}^{1}(\mathbf{Q},\mathbb{V}^{\dagger}_{f{\boldsymbol{g}}_{\alpha}({\boldsymbol{g}}^{*}_{\beta^{-1}})^{\iota}}), \end{align*} $$
where
$\mathbb {V}^{\dagger}_{f{\boldsymbol {g}}_{\alpha }({\boldsymbol {g}}^{*}_{\beta ^{-1}})^{\iota }}\simeq (V_{p}E\otimes \text {Ind}_{K}^{\mathbf {Q}}\chi )\oplus (V_{p}E\otimes \text {Ind}_{K}^{\mathbf {Q}}\Psi _{T}^{1-\tau })$
. Thus,
${\boldsymbol \kappa }^{\iota }$
is the restriction of (5.2) to the line of weights
$(\ell ,2-\ell )$
(cf.
$\kappa (\breve {f},\breve {{\boldsymbol {g}}}\breve {{\boldsymbol {g}}}^{*})$
in (3.11), where the line
$(\ell ,\ell )$
is considered). Then, by definition,
As in Theorem 3.6, by [Reference Darmon and Rotger19, Prop. 5.8], the restriction
$\text {Loc}_{p}({\boldsymbol \kappa }^{\iota })$
belongs to the natural image of
$\text {H}^{1}({\mathbf {Q}}_{p},\mathscr {F}^{++}\mathbb {V}^{\dagger}_{f{\boldsymbol {g}}_{\alpha }({\boldsymbol {g}}^{*}_{\beta ^{-1}})^{\iota }})$
in
$\text {H}^{1}({\mathbf {Q}}_{p},\mathbb {V}^{\dagger}_{f{\boldsymbol {g}}_{\alpha }({\boldsymbol {g}}^{*}_{\beta ^{-1}})^{\iota }})$
, where
$$ \begin{align*} \mathscr{F}^{++}\mathbb{V}_{f{\boldsymbol{g}}_{\alpha}({\boldsymbol{g}}^{*}_{\beta^{-1}})^{\iota}}^{\dagger}=V_{p}E\otimes\chi^{-1} +\mathscr{F}^{+}V_{p}E\otimes(\Psi^{1-\tau}_{T}+ \Psi^{1-\tau}_{T}). \end{align*} $$
Thus, the projection
${\boldsymbol \kappa }^{\iota }_{\infty }$
of
${\boldsymbol \kappa }^{\iota }$
to
$\text {H}^{1}(\mathbf {Q},V_{p}E\otimes \text {Ind}_{K}^{\mathbf {Q}}\Psi _{T}^{1-\tau })\simeq \widehat {\text {H}}^{1}(K_{\infty },V_{p}E)$
is crystalline at p and therefore defines a Selmer class for
$V_{p}E$
over the
$K_{\infty }/K$
. Since under our hypotheses the space of such anticyclotomic universal norms is trivial by Cornut–Vatsal [Reference Cornut and Vatsal15], we conclude that
${\boldsymbol \kappa }^{\iota }_{\infty }=0$
. As in the proof of Theorem 3.6, it follows that
$\kappa _{\alpha ,\beta ^{-1}}(f,g,g^{*})=0$
. The vanishing of
$\kappa _{\beta ,\alpha ^{-1}}(f,g,g^{*})$
is shown in the same manner.
5.3 The leading term formula
Let
$J\subseteq \Lambda $
be the augmentation ideal and let
Since
$\Theta _{f/K}$
is nonzero by [Reference Vatsal48],
$\mathfrak {r}$
is a well-defined nonnegative integer. Moreover, since
$L(E/K,1)=0$
under our hypotheses,
$\mathfrak {r}>0$
by the interpolation property. Let
$$ \begin{align} \textrm{Sel}(K,V_{p}E)=S_{p}^{(1)}\supseteq S_{p}^{(2)}\supseteq\cdots \supseteq S_{p}^{(i)}\supseteq \cdots \supseteq S^{(\infty)}_{p} \end{align} $$
be the filtration in Theorem 4.1, where we have put
$S_{p}^{(i)}=S_{p}^{(i)}(E/K)$
for ease of notation, and let
$$ \begin{align*} h_{p}^{(i)}:S_{p}^{(i)}\times S_{p}^{(i)}\rightarrow(J^{i}/J^{i+1})\otimes_{\mathbf{Z}_{p}}{\mathbf{Q}}_{p} \end{align*} $$
be the associated derived p-adic height pairings. Since we assume that
$N^{-}$
is the squarefree product of an odd number of primes, we have
$S_{p}^{(\infty )}=0$
by part (b) of Theorem 4.1 and the work of Cornut–Vatsal [Reference Cornut and Vatsal15].
Theorem 5.3. Let
$\mathfrak {r}=\mathrm{ord}_{J}(\Theta _{f/K})$
. Then
$$ \begin{align} \kappa_{\alpha,\alpha^{-1}}(f,g,g^{*})\in S_{p}^{(\mathfrak{r})}, \end{align} $$
and for every for every
$x\in S_{p}^{(\mathfrak {r})}$
we have
$$ \begin{align} h_{p}^{(\mathfrak{r})}(\kappa_{\alpha,\alpha^{-1}}(f,g,g^{*}),x)=\frac{1-p^{-1}\alpha_{p}}{1-\alpha_{p}^{-1}}\cdot\Theta_{f/K}\cdot\log_{\omega_{E},\mathfrak{p}}(x)\cdot C\pmod{J^{\mathfrak{r}+1}}, \end{align} $$
where
$\alpha _{p}$
is the p-adic unit root of
$X^{2}-a_{p}(E)X+p=0$
and C is a nonzero algebraic number with
$C^{2}\in K(\chi ,\alpha _{p})^{\times }$
.
5.4 Nonvanishing of
$\kappa _{\alpha ,\alpha ^{-1}}(f,g,g^{*})$
Here we prove the implication (1.10) in Theorem A. Thus, suppose that
$\text {dim}_{{\mathbf {Q}}_{p}}\text {Sel}(\mathbf {Q},V_{p}E)=2$
. Since
$L(E^{K},1)\neq 0$
, we have
$\text {Sel}(\mathbf {Q},V_{p}E^{K})=0$
by [Reference Kolyvagin31] (or, alternatively, [Reference Kato29]) and therefore
where
$r^{\pm }$
denotes the dimension of the
$\pm $
-eigenspace of
$\text {Sel}(K,V_{p}E)$
under the action of the complex conjugation
$\tau $
. Since
$\tau $
acts as
$-1$
on
$J/J^{2}$
, part (4) of Theorem 4.1 gives
$$ \begin{align} h_{p}^{(i)}(x^{\tau},y^{\tau})=(-1)^{r}h_{p}^{(i)}(x,y), \end{align} $$
and hence from (5.6) we see that for i odd, the null-space of
$h_{p}^{(i)}$
(i.e.,
$S_{p}^{(i+1)}$
) is either 0 or 2-dimensional, with the latter case occurring as long as
$S_{p}^{(i)}\neq 0$
. Since, on the other hand,
$h_{p}^{(i)}$
is a nondegenerate alternating pairing on
$S_{p}^{(i)}/S_{p}^{(i+1)}$
for even values of i, unless
$S_{p}^{(i)}=0$
, it follows that (5.3) reduces to
$$ \begin{align} \textrm{Sel}(\mathbf{Q},V_{p}E)=S_{p}^{(1)}=S_{p}^{(2)}=\cdots= S_{p}^{(r)}\supsetneq S_{p}^{(r+1)}=\cdots= S_{p}^{(\infty)}=0 \end{align} $$
for some even
$r\geqslant 2$
. By Theorem 4.1, we deduce that there is a
$\Lambda $
-module pseudo-isomorphism
$$ \begin{align*} \textrm{Sel}_{p^{\infty}}(E/K_{\infty})^{\vee}\sim(\Lambda/J^{r})^{\oplus 2}\oplus M^{\prime}, \end{align*} $$
where
$M^{\prime }$
is a torsion
$\Lambda $
-module with characteristic ideal prime-to-J. Therefore, letting
$\mathcal {L}_{p}\in \Lambda $
be any generator of the characteristic ideal of
$\text {Sel}_{p^{\infty }}(E/K_{\infty })^{\vee }$
, we have
Finally, the divisibility
$(\Theta _{f/K}^{2})\supseteq (\mathcal {L}_{p})$
arising from [Reference Skinner and Urban45, §3.6.3] implies that
$r\geqslant \mathfrak {r}$
and hence
$S_{p}^{(\mathfrak {r})}=\text {Sel}(\mathbf {Q},V_{p}E)$
by (5.8). Since by our hypothesis that
$\text {Sel}(\mathbf {Q},V_{p}E)\neq \text {ker}(\text {Loc}_{p})$
we can find
$x\in \text {Sel}(\mathbf {Q},V_{p}E)$
with
$\text {log}_{\omega _{E},{\mathfrak p}}(x)\neq 0$
, the nonvanishing of
$\kappa _{\alpha ,\alpha ^{-1}}(f,g,g^{*})$
now follows from the leading term formula
$(5.5)$
.
Remark 5.4. The same argument as above with
$\beta $
in place of
$\alpha $
establishes the nonvanishing of
$\kappa _{\beta ,\beta ^{-1}}(f,g,g^{*})$
under the given hypotheses.
5.5 Analogue of Kolyvagin’s theorem for
$\kappa _{\alpha ,\alpha ^{-1}}(f,g,g^{*})$
Here we prove the implication (1.9) in Theorem A. As in Subsection 5.4, we see that
$\text {Sel}(K,V_{p}E)=\text {Sel}(\mathbf {Q},V_{p}E)$
and the nontrivial jumps in (5.3) can only occur at even values of i. Thus, (5.3) reduces to
$$ \begin{align} \textrm{Sel}(\mathbf{Q},V_{p}E)=S_{p}^{(1)}=\cdots= S_{p}^{(2r_{1})}\supsetneq S_{p}^{(2r_{1}+1)}=\cdots= S_{p}^{(2r_{t})}\supsetneq S_{p}^{(2r_{t}+1)}=\cdots=S_{p}^{(\infty)}=0 \end{align} $$
for some
$1\leqslant r_{1}\leqslant \cdots \leqslant r_{t}$
, and by Theorem 4.1 we have
$$ \begin{align*} \textrm{Sel}_{p^{\infty}}(E/K_{\infty})^{\vee}\sim(\Lambda/J^{2r_{1}})^{d_{1}}\oplus\cdots\oplus(\Lambda/J^{2r_{t}})^{\oplus d_{t}}\oplus M^{\prime}, \end{align*} $$
where
$d_{i}=\text {dim}_{{\mathbf {Q}}_{p}}(S_{p}^{(2r_{i})}/S_{p}^{(2r_{i}+1)})\geqslant 2$
and
$M^{\prime }$
is as in Subsection 5.4. Letting
$\mathcal {L}_{p}\in \Lambda $
be a generator of the characteristic ideal of
$\text {Sel}_{p^{\infty }}(E/K_{\infty })^{\vee }$
, we therefore have
Suppose now that
$\kappa _{\alpha ,\alpha ^{-1}}(f,g,g^{*})\neq 0$
. By (5.4), it follows that
$S_{p}^{(\mathfrak {r})}\neq 0$
and therefore
On the other hand, the divisibility
$(\mathcal {L}_{p})\supseteq (\Theta _{f/K}^{2})$
established in [Reference Bertolini and Darmon5] (as refined in [Reference Pollack and Weston38]) implies that
$r_{1}d_{1}+\cdots + r_{t}d_{t}\leqslant \mathfrak {r}$
; together with
$(5.11)$
this yields
from which we conclude that
$t=1$
,
$d_{1}=2$
and
$\text {dim}_{{\mathbf {Q}}_{p}}\text {Sel}(\mathbf {Q},V_{p}E)=2$
.
5.6 Proof of Theorem B
This will follow from essentially the same argument as in Subsection 5.4 but without the need to appeal to [Reference Skinner and Urban45].
Let the hypotheses be as in the statement of Theorem B and assume that
$\text {ord}_{T}(\Theta _{f/K})=2$
. Then Theorem 5.3 gives the inclusion
$$ \begin{align*} \kappa_{\alpha,\alpha^{-1}}(f,g,g^{*})\in S_{p}^{(2)}. \end{align*} $$
As in Subsection 5.4, the assumption that
$L(E^{K},1)\neq 0$
implies that
$\text {Sel}(K,V_{p}E)=\text {Sel}(\mathbf {Q},V_{p}E)$
. Since by (5.7) the
$\tau $
-eigenspaces of
$\text {Sel}(K,V_{p}E)$
are isotropic under
$h_{p}^{(1)}$
, we see that
$$ \begin{align*} S_{p}^{(2)}=\textrm{Sel}(K,V_{p}E)=\textrm{Sel}(\mathbf{Q},V_{p}E). \end{align*} $$
Finally, since our assumption that
$E(\mathbf {Q})$
has positive rank implies that
$\text {Sel}(\mathbf {Q},V_{p}E)\neq \text {ker}(\text {Loc}_{p})$
(see Remark 1.5), the nonvanishing of
$\kappa _{\alpha ,\alpha ^{-1}}(f,g,g^{*})$
follows from the leading term formula of Theorem 5.3. The same argument yields the nonvanishing of
$\kappa _{\beta ,\beta ^{-1}}(f,g,g^{*})$
.
5.7 Application to the strong elliptic Stark conjecture
We keep the setting from the beginning of this section but assume in addition that
.
As explained in [Reference Darmon and Rotger17, §4.5.3], the p-adic regulators appearing in the elliptic Stark conjectures of [Reference Darmon, Lauder and Rotger16] all vanish in the setting we have placed ourselves in. As a remedy, in [Reference Darmon and Rotger17] they formulated a strengthening of those conjectures in terms of certain enhanced regulators; in our setting, they are given (modulo
$\mathbf {Q}^{\times }$
) by
where
$(P,Q)$
is any basis of
$E(\mathbf {Q})\otimes _{\mathbf {Z}}\mathbf {Q}$
. The strong elliptic Stark conjecture then predicts that the generalised Kato classes
$\kappa _{\alpha ,\alpha ^{-1}}(f,g,g^{*})$
and
$\kappa _{\beta ,\beta ^{-1}}(f,g,g^{*})$
both agree with
$\text {Log}_{p}(P\wedge Q)$
up to a nonzero algebraic constant.
In the direction of this conjecture, our methods show that
$\kappa _{\alpha ,\alpha ^{-1}}(f,g,g^{*})$
and
$\kappa _{\beta ,\beta ^{-1}}(f,g,g^{*})$
span the same p-adic line as
$\text {Log}_{p}(P\wedge Q)$
inside the
$2$
-dimensional
$\text {Sel}(\mathbf {Q},V_{p}E)$
.
To state the application, we identify
$J^{\mathfrak {r}}/J^{\mathfrak {r}+1}$
with
$\mathbf {Z}_{p}$
in the usual manner by choosing a topological generator of
$\Gamma _{\infty }$
and let
$\Theta _{f/K}^{(\mathfrak {r})}\in \mathbf {Z}_{p}\smallsetminus \{0\}$
denote the image of
$\Theta _{f/K}\;(\text {mod}\;J^{\mathfrak {r}+1})$
under this identification.
Theorem 5.5. Let the setting be as in the beginning of Section 5 and let
$\mathfrak {r}=\mathrm{ord}_{J}(\Theta _{f/K})$
. Then, as elements of
$\mathrm{Sel}(\mathbf {Q},V_{p}E)\simeq E(\mathbf {Q})\otimes _{\mathbf {Z}}{\mathbf {Q}}_{p}$
, we have
$$ \begin{align*} \kappa_{\alpha,\alpha^{-1}}(f,g,g^{*})=C\cdot \frac{1-p^{-1}\alpha_{p}}{1-\alpha_{p}^{-1}}\cdot\frac{\Theta_{f/K}^{(\mathfrak{r})}}{h_{p}^{(\mathfrak{r})}(P,Q)}\cdot\mathrm{Log}_{p}(P\wedge Q), \end{align*} $$
where C is nonzero and such that
$C^{2}\in K(\chi ,\alpha _{p})^{\times }$
. The same result holds of
$\kappa _{\beta ,\beta ^{-1}}(f,g,g^{*})$
.
Proof. Immediate from the leading term formula of Subsection 5.3 applied to
$x=P$
and Q.
Remark 5.6. The term
$h_{p}^{(\mathfrak {r})}(P,Q)$
recovers the derived p-adic regulator
$R_{der}$
introduced in [Reference Bertolini and Darmon3]. Thus, Theorem 5.5 links the conjectural algebraicity of the ratio between
$\kappa _{\alpha ,\alpha ^{-1}}(f,g,g^{*})$
and
$\text {Log}_{p}(P\wedge Q)$
, as predicted in [Reference Darmon and Rotger17, §4.5.3], to a refinement of the p-adic Birch and Swinnerton-Dyer conjecture in [Reference Bertolini and Darmon4, Conjecture 4.3] formulated in terms of
$R_{der}$
.
6 Appendix. Nonvanishing of
$\kappa _{\alpha ,\alpha ^{-1}}(f,g,g^{*})$
: Numerical examples
In this appendix, we exhibit the first examples of elliptic curves E over
$\mathbf {Q}$
of rank 2 with nonvanishing generalised Kato classes by numerically verifying the conditions in Theorem B.
Setting
In the examples tabulated below, we take elliptic curves
$E/\mathbf {Q}$
with
of conductor
$N\in \{q,2q\}$
, with q an odd prime and pairs
$(p,-d)$
consisting of a prime
$p>3$
and a squarefree integer
$-d<0$
such that
-
•
$K=\mathbf {Q}(\sqrt {-d})$
has class number 1, q is inert in K and
$L(E^{K},1)\neq 0$
, -
• p splits in K and
$E[p]$
is irreducible as a
$G_{\mathbf {Q}}$
-module.
Note that such pairs
$(p,-d)$
can be easily produced. Indeed, [Reference Ribet39, Thm. 1.1] implies that
$E[p]$
must ramify at
$N^{-}=q$
, and the irreducibility of
$E[p]$
can be verified either by [Reference Mazur33] when
$p\geqslant 11$
or by checking (from, e.g., Cremona’s tables) that E does not admit any rational m-isogenies for
$m>3$
.
For every such triple
$(E,p,-d)$
, there is a ring class character
$\chi $
of K of
$\ell $
-power conductor for some prime
$\ell \nmid Np$
such that
$L(E/K,\chi ,1)\neq 0$
. (In fact, there are infinitely many such
$\chi $
, as follows from [Reference Vatsal48, Thm. 1.3] and its extension in [Reference Chida and Hsieh13, Thm. D].) Writing
$\chi =\psi /\psi ^{\tau }$
and letting
$g=\theta _{\psi }$
and
$g^{*}=\theta _{\psi ^{-1}}$
, we then have the class
as in Subsection 5.2 (see Lemma 5.1). By Theorem B, to verify the nonvanishing of
$\kappa _{\alpha ,\alpha ^{-1}}(f,g,g^{*})$
, it suffices to check that
Verifying order of vanishing
$2$
Let B be the definite quaternion algebra over
$\mathbf {Q}$
of discriminant q, let
$R\subset B$
be an Eichler order of level
$N/q$
and let
$\text {Cl}(R)$
be the class group of R. Let
be the Hecke eigenfunction associated to f by Jacquet–Langlands, normalised so that
$\phi _{f}\not \equiv 0\pmod {p}$
. Fix an isomorphism
$i_{p}:R\otimes \mathbf {Z}_{p}\simeq \text {M}_{2}(\mathbf {Z}_{p})$
and an optimal embedding
$\mathcal O_{K}\hookrightarrow R$
such that K is sent to a subspace consisting of diagonal matrices, and for
$a\in \mathbf {Z}_{p}^{\times }$
and
$n\geqslant 0$
put
$$ \begin{align*} r_{n}(a)=i_{p}^{-1}(\begin{pmatrix} 1&ap^{-n}\\ 0&1\end{pmatrix})\in \widehat B^{\times}, \end{align*} $$
where
$\widehat B=B\otimes _{\mathbf {Z}}\widehat {\mathbf {Z}}$
is the adelic completion of B.
Consider the sequence
$\{P^{a}_{n}\}_{n\geqslant 0}$
of right R-ideals given by
$P_{n}^{a}:=(r_{n}(a)\widehat R)\cap B$
and define the nth theta element
$\Theta _{f/K,n}\in \mathbf {Z}_{p}[T]$
by
$$ \begin{align*} \Theta_{f/K,n}:=\frac{1}{\alpha_{p}^{n+1}}\sum_{i=0}^{p^{n}-1}\sum_{a\in \mu_{p-1}}\left(\alpha_{p}\cdot\phi_{f}(P_{n}^{a{\mathbf u}^{i}})-\phi_{f}(P_{n+1}^{a{\mathbf u}^{i}})\right)(1+T)^{i},\end{align*} $$
where
$\alpha _{p}$
is the p-adic unit root of
$x^{2}-a_{p}(E)x+p$
and
${\mathbf u}=1+p$
.
By the definition of
$\Theta _{f/K}$
(see, e.g., [Reference Bertolini and Darmon4, §2.7]), we have
$$ \begin{align*} \Theta_{f/K}&\equiv\Theta_{f/K,n}\pmod{(1+T)^{p^{n}}-1}. \end{align*} $$
Since
$(p^{n},(1+T)^{p^{n}}-1)\subset (p^{n},T^{p})$
, in the examples listed in the following Tables 1 and 2 we could verify (6.1) by computing
$\Theta _{f/K,n}\;\text {mod}\;(p^{n},T^{p})$
for
$n=2$
and
$3$
, respectively. The computations were done using the Brandt module package in SAGE.
Table 1 Examples with
$\mathrm{ord}_{T}(\Theta _{f/K})=2$
determined mod
$(p^{2},T^{p})$
.

Table 2 Examples with
$\mathrm{ord}_{T}(\Theta _{f/K})=2$
determined mod
$(p^{3},T^{p})$
.

Acknowledgments
It is a pleasure to thank John Coates, Henri Darmon, Dick Gross, Barry Mazur and Victor Rotger for their comments on an earlier draft of this article. We also thank the anonymous referees for useful suggestions that helped us improve the exposition of our results. F. C. was partially supported by the NSF grants DMS-1801385, 1946136 and DMS-2101458. M.-L. H. was partially supported by the MOST grant 108-2628-M-001-009-MY4.
Conflict of interest
None.














